09《统计工作实务》辅导:国民经济生产及使用统计(6)
更新时间:2009-10-19 15:27:29
来源:|0
浏览
收藏
统计师报名、考试、查分时间 免费短信提醒
1. 投入产出表的基本平衡关系
在投入产出表中有一些基本的总量平衡关系。具体归纳如下:
总投入=总产出
中间投入+增加值=总投入
中间使用+最终使用=总产出
增加值合计=国内生产总值=最终使用合计
需要特别指出的是,在总产出与总投入之间具有平衡关系,不仅一个经济总体的总投入等于其总产出,而且在单个部门层次上总投入也等于其总产出。
2. 直接消耗系数与完全消耗系数及其应用
通过对投入产出表进行投入产出分析,可以系统反映产业之间的关联。其基本方法是以第Ⅰ象限为依据,通过中间投入流量计算各产业间的直接消耗系数和完全消耗系数。
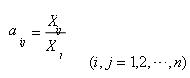
直接消耗系数又称为投入系数或技术系数,一般用
表示,其定义是:每生产单位j产品需要消耗i产品的数量。直接消耗系数的计算公式是:

对所有产业计算直接消耗系数,结果构成一个系数矩阵,通常用A表示。直接消耗系数只反映了产业间的直接联系,却不能反映产业间联系。需要在直接消耗系数基础上计算完全消耗系数,既反映直接联系,也反映间接联系。单个完全消耗系数用b表示,对所有产业计算完全消耗系数,所形成的矩阵用B表示,它是依据直接消耗矩阵计算得到的,其计算公式如下:

可见列昂惕夫逆矩阵度量了最终使用与总产出之间联系的强度,它的含义是,如果每个产业的最终使用都增加一个单位,则各产业总产出将增加的单位数。
编辑推荐
最新资讯
- 2026年统计师考试大纲预计不变,继续沿用2021版大纲2026-01-22
- 2026年初级统计师备考资料:免费下载—初级统计师历年真题(2020-2025)2026-01-14
- 倒计时5天!2025年统计师考试考前必背考前几页纸!(初级+中级)2025-10-14
- 仅剩9天!2025年统计师考试考前冲刺备考资料免费下载(初级+中级)2025-10-10
- 免费下载!冲刺阶段的复习宝典-2025年中级统计师考前几页纸(各科目汇总)2025-10-10
- 必背资料!2025年中级统计师考试-经济学基础知识-考前10页纸2025-10-10
- 冲刺宝典!2025年中级统计师考试-会计基础知识-考前12页纸2025-10-10
- 考前必背!2025年中级统计师-统计学基础知识-考前14页纸2025-10-10
- 冲刺必备:2025年中级统计师-统计实务-考前10页纸2025-10-10
- 统计师考前冲刺:2025年中级统计师-统计法规-考前5页纸2025-10-10

