2010年《统计基础知识》辅导:统计指数(9)
(四) 平均指标指数转自环 球 网 校edu24ol.com
1. 平均指标指数的概念
平均指标指数是两个不同时期或不同空间的平均指标之比。这里的平均指标不仅包括前面定义的平均指标,也包括形式上与平均指标相似的相对指标。

加权算术平均数本身包括标志值和权数两个因素,所以平均指标指数所反映的变动程度,也包括两个因素的影响,即经济指标及总体内部结构两因素。
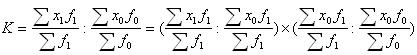
2. 平均指标指数体系转自环 球 网 校edu24ol.com
进行因素分析的关键问题之一在于确定同度量的因素。选择同度量因素,由加权算术平均数公式确定,即指标与加权比率互为同度量的因素。加权比率就是相对数中的结构指标,又称构成指标。

(可变构成指数) (固定构成指数) (结构影响指数)
此公式中,平均指标指数即式中第一个指数,既包括各组指标的变动,也包括结构的变动,因而称为可变构成指数;第二个指数是将结构固定在报告期,以反映各组指标值的变动,称为固定构成指数;第三个指数是将各组指标固定在基期,反映结构的变动,因而称为结构影响指数。
3. 综合指数体系与平均指标指数体系的关系
综合指数体系是对总指标进行因素分析的表达形式,而平均指标指数体系是对平均指标进行因素分析的表达形式,从分析的目的看,它们是两种不同性质的形式。但从运用资料和分析的结构来看,二者又有一定的联系。由于两种指数体系分析的目的和资料要求不同,因此运用同一资料,一定要分清用哪一种指数体系,否则容易出现计算错误。从通常的计算规律来看:
(1) 首先看资料中的数量指标是否能够求和。因为计算平均指标指数必须用数量指标之和作分母,才能求出平均数,然后才能加以对比。如果数量指标不能求和,就没有分母,就无法计算平均数。所以在数量指标不能求和的情况下,只能选用综合指数体系。转自环 球 网 校edu24ol.com
(2) 在数量指标能够求和的情况下,需要看分析目的和要求。如果要求对总指标进行因素分析,宜采用综合指数体系;如果对平均指标,则宜采用平均指标指数体系。
2010年统计师考试辅导招生简章转自环 球 网 校edu24ol.com
最新资讯
- 2026年统计师考试大纲预计不变,继续沿用2021版大纲2026-01-22
- 2026年初级统计师备考资料:免费下载—初级统计师历年真题(2020-2025)2026-01-14
- 倒计时5天!2025年统计师考试考前必背考前几页纸!(初级+中级)2025-10-14
- 仅剩9天!2025年统计师考试考前冲刺备考资料免费下载(初级+中级)2025-10-10
- 免费下载!冲刺阶段的复习宝典-2025年中级统计师考前几页纸(各科目汇总)2025-10-10
- 必背资料!2025年中级统计师考试-经济学基础知识-考前10页纸2025-10-10
- 冲刺宝典!2025年中级统计师考试-会计基础知识-考前12页纸2025-10-10
- 考前必背!2025年中级统计师-统计学基础知识-考前14页纸2025-10-10
- 冲刺必备:2025年中级统计师-统计实务-考前10页纸2025-10-10
- 统计师考前冲刺:2025年中级统计师-统计法规-考前5页纸2025-10-10

