2010统计师《统计基础知识》预习:抽样分布(7)
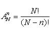
不重复抽样条件下,从4个单位中,抽选2个单位为样本,根据排列方法可知,不重复抽样的样本排列的可能数目的计算公式为:
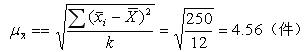
于是
,
样本序号 样本单位名称 样本单位标志值 样本平均数 xi 离差 离差平方 1 A,B 40,45 42.5 -7.5 56.25 2 A,C 40,55 47.5 -2.5 6.25 3 A,D 40,60 50 0 0 4 B,A 45,40 42.5 -7.5 56.25 5 B,C 45,55 50 0 0 6 B,D 45,60 52.5 2.5 6.25 7 C,A 55,40 47.5 -2.5 6.25 8 C,B 55,45 50 0 0 9 C,D 55,60 57.5 7.5 56.25 10 D,A 60,40 50 0 0 11 D,B 60,45 52.5 2.5 6.25 12 D,C 60,55 57.5 7.5 56.25 总计 - - - - 250
所以,抽样平均误差为:
最新资讯
- 2026年统计师考试大纲预计不变,继续沿用2021版大纲2026-01-22
- 2026年初级统计师备考资料:免费下载—初级统计师历年真题(2020-2025)2026-01-14
- 倒计时5天!2025年统计师考试考前必背考前几页纸!(初级+中级)2025-10-14
- 仅剩9天!2025年统计师考试考前冲刺备考资料免费下载(初级+中级)2025-10-10
- 免费下载!冲刺阶段的复习宝典-2025年中级统计师考前几页纸(各科目汇总)2025-10-10
- 必背资料!2025年中级统计师考试-经济学基础知识-考前10页纸2025-10-10
- 冲刺宝典!2025年中级统计师考试-会计基础知识-考前12页纸2025-10-10
- 考前必背!2025年中级统计师-统计学基础知识-考前14页纸2025-10-10
- 冲刺必备:2025年中级统计师-统计实务-考前10页纸2025-10-10
- 统计师考前冲刺:2025年中级统计师-统计法规-考前5页纸2025-10-10

