2010统计师《统计基础知识》预习:抽样分布(11)
更新时间:2009-12-11 09:54:58
来源:|0
浏览
收藏
统计师报名、考试、查分时间 免费短信提醒
应用上面的公式计算样本容量应注意以下几个问题:
第一, 依上面公式计算的n是最小的,也是最必要的样本容量。转自环 球 网 校edu24ol.com转自环 球 网 校edu24ol.com
第二, 一般总体方差 或P(1-P)是未知的。在实际计算时往往用有关资料来代替。1)如果进行本次调查之前,曾经进行过同类问题的全面调查,可用全面调查的数据代替;2)组织实验性抽样,在进行正式抽样调查之前,组织两次或两次以上实验性抽样,用实验样本的方差最大者代替;3)成数方差P(1-P)在完全缺乏资料的情况下,可用成数方差P(1-P)的极大值0.5×0.5来代替。
第三, 如果进行一次抽样调查,同时对总体平均数和总体成数进行区间估计,运用上面公式计算的 一般不等,为了同时满足两个推断的要求,一般在两个样本容量中选择较大的一个。转自环 球 网 校edu24ol.com转自环 球 网 校edu24ol.com
第四, 上面公式计算的n不一定是整数,如果带小数,一般不采取四舍五入的办法化成整数。而是用比这个数大的邻近的整数代替。
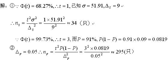
例7 对10000只某产品进行耐用性能测试,根据以往资料,耐用时间的标准差为51.91小时,若采用重复抽样的方法,概率保证68.27%,平均耐用时数的误差范围不超过9小时。在这种条件下应抽多少只产品?又根据以往经验,产品的合格率为91%,要求在99.73%的概率保证下,允许误差不超过5%,问需要抽多少只产品?

编辑推荐
最新资讯
- 2026年统计师考试大纲预计不变,继续沿用2021版大纲2026-01-22
- 2026年初级统计师备考资料:免费下载—初级统计师历年真题(2020-2025)2026-01-14
- 倒计时5天!2025年统计师考试考前必背考前几页纸!(初级+中级)2025-10-14
- 仅剩9天!2025年统计师考试考前冲刺备考资料免费下载(初级+中级)2025-10-10
- 免费下载!冲刺阶段的复习宝典-2025年中级统计师考前几页纸(各科目汇总)2025-10-10
- 必背资料!2025年中级统计师考试-经济学基础知识-考前10页纸2025-10-10
- 冲刺宝典!2025年中级统计师考试-会计基础知识-考前12页纸2025-10-10
- 考前必背!2025年中级统计师-统计学基础知识-考前14页纸2025-10-10
- 冲刺必备:2025年中级统计师-统计实务-考前10页纸2025-10-10
- 统计师考前冲刺:2025年中级统计师-统计法规-考前5页纸2025-10-10

