2010统计师《统计基础知识》预习:假设检验(16)
更新时间:2009-12-18 09:31:22
来源:|0
浏览
收藏
统计师报名、考试、查分时间 免费短信提醒
3.季节因素的测定
季节性因素测定是通过季节指数来表示各年的季节成分,以此来描述各年的季节变动模式。其分析步骤是:先计算出季节指数,再消除季节性因素。
本节只介绍移动平均趋势剔除法。下面通过例题介绍移动平均趋势剔除法的具体步骤。
4.循环波动及不规则波动的测定转自环 球 网 校edu24ol.com
(1)循环波动的测定
循环波动又称周期变动,成因较复杂,经常与不规则波动交织在一起,其规律性不如季节变动明显。剩余法是测定循环波动比较常用的方法。
剩余法也称古典方法,它的基本思想和原理是:从时间数列中一次或陆续消去趋势变动、季节变动、剩下循环变动因素和不规则波动,然后再将结果进行平滑,尽可能消去不规则成分,其剩余结果即为循环波动值。
剩余法的具体步骤如下:转自环 球 网 校edu24ol.com
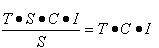
① 先消去季节性因素,求得无季节性资料。用公式表示为:
无季节性资料=
(3.34)
② 将结果除以由分离季节性因素后的数据计算得到的趋势值,求得含有周期与随机波动的数列。用公式表示为:
周期与随机波动=
(3.35)
将上述结果进行平均,以消除随机波动。下面通过命题来具体说明如何利用剩余法进行循环指数测定。
编辑推荐
最新资讯
- 2026年统计师考试大纲预计不变,继续沿用2021版大纲2026-01-22
- 2026年初级统计师备考资料:免费下载—初级统计师历年真题(2020-2025)2026-01-14
- 倒计时5天!2025年统计师考试考前必背考前几页纸!(初级+中级)2025-10-14
- 仅剩9天!2025年统计师考试考前冲刺备考资料免费下载(初级+中级)2025-10-10
- 免费下载!冲刺阶段的复习宝典-2025年中级统计师考前几页纸(各科目汇总)2025-10-10
- 必背资料!2025年中级统计师考试-经济学基础知识-考前10页纸2025-10-10
- 冲刺宝典!2025年中级统计师考试-会计基础知识-考前12页纸2025-10-10
- 考前必背!2025年中级统计师-统计学基础知识-考前14页纸2025-10-10
- 冲刺必备:2025年中级统计师-统计实务-考前10页纸2025-10-10
- 统计师考前冲刺:2025年中级统计师-统计法规-考前5页纸2025-10-10

