2009年统计师《统计基础知识》统计指数(3)
更新时间:2009-10-19 15:27:29
来源:|0
浏览
收藏
统计师报名、考试、查分时间 免费短信提醒
(一) 总指数及其编制方法
1. 综合指数的编制方法
(1) 总指数的综合形式,即综合指数。它编制计算的特点是:先综合,后对比。它编制的要点是:将不能直接加总的研究对象,通过一定的方式形成可以加总、对比的总量指标后进行对比,计算总指数。比如:
一种商品价格指数=![]()
表示商品报告期价格, 表示基期价格。
价格的综合指数反映多种商品价格变动情况,可从商品销售量不变只有价格变量计算销售总额编制价格综合指数。比如:
式中 表示的是销售量。
计算综合指数,用以对比的总量指标一般由两类因素指标构成:一是所要研究其变动的指标,称为指数化的指标,另一类便是将不可直接相加的指数化指标转化为可以直接相加对比的总量指标的同度量因素。
编制综合指数时,必须解决好两个基本问题。
第一, 确定同度量因素,对复杂总体进行综合;
第二, 将同度量因素固定在某一时期,消除同度量因素的影响。
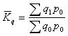
(2) 数量指标综合指数的编制
以综合形式计算数量指标的总指数,称为数量指标综合指数。
在计算数量指标综合指数时,以能够使数量指标过渡到可以相加的质量指标为同度量因素,并通常将其固定在基期的水平上。数量指标综合指数计算公式如下:

式中: 表示数量指标的综合指数; 表示报告期数量指标; 表示基期数量指标; 表示基期的质量指标。
现以商品销售量总指数的编制为例,说明数量指标综合指数的编制方法。
编辑推荐
最新资讯
- 2026年统计师考试大纲预计不变,继续沿用2021版大纲2026-01-22
- 2026年初级统计师备考资料:免费下载—初级统计师历年真题(2020-2025)2026-01-14
- 倒计时5天!2025年统计师考试考前必背考前几页纸!(初级+中级)2025-10-14
- 仅剩9天!2025年统计师考试考前冲刺备考资料免费下载(初级+中级)2025-10-10
- 免费下载!冲刺阶段的复习宝典-2025年中级统计师考前几页纸(各科目汇总)2025-10-10
- 必背资料!2025年中级统计师考试-经济学基础知识-考前10页纸2025-10-10
- 冲刺宝典!2025年中级统计师考试-会计基础知识-考前12页纸2025-10-10
- 考前必背!2025年中级统计师-统计学基础知识-考前14页纸2025-10-10
- 冲刺必备:2025年中级统计师-统计实务-考前10页纸2025-10-10
- 统计师考前冲刺:2025年中级统计师-统计法规-考前5页纸2025-10-10

