2009年统计师《统计基础知识》时间数列(1)
更新时间:2009-10-19 15:27:29
来源:|0
浏览
收藏
统计师报名、考试、查分时间 免费短信提醒
一、 本讲主要内容
2.速度指标
(1)发展速度
发展速度是以相对数形式表示的两个不同时期发展水平的比值,表明报告期水平已发展到基期水平的几分之几或若干倍。计算公式为:
发展速度= 由于基期选择的不同,发展速度有定基与环比之分。
1、 定基发展速度
定基发展速度是报告期水平与某一固定时期水平(通常是最初水平)的比值,用ai表示,则有:

它说明社会经济现象相对于某个基础水平,在一定时期内总的发展速度。
2、环比发展速度
环比发展速度是报告期水平与其前一其水平的比值,用bi表示,则有:

它说明所研究现象相邻两个时期(逐期)发展变化的程度。
定基发展速度与环比发展速度的关系有:
第一, 定基发展速度等于相应时期内各环比发展速度的连乘积:

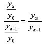
第二, 两个相邻时期定基发展速度的比率等于相应时期的环比发展速度;

实际工作中,经常利用上述关系式对发展速度指标进行推算或换算。
编辑推荐
最新资讯
- 倒计时5天!2025年统计师考试考前必背考前几页纸!(初级+中级)2025-10-14
- 仅剩9天!2025年统计师考试考前冲刺备考资料免费下载(初级+中级)2025-10-10
- 免费下载!冲刺阶段的复习宝典-2025年中级统计师考前几页纸(各科目汇总)2025-10-10
- 必背资料!2025年中级统计师考试-经济学基础知识-考前10页纸2025-10-10
- 冲刺宝典!2025年中级统计师考试-会计基础知识-考前12页纸2025-10-10
- 考前必背!2025年中级统计师-统计学基础知识-考前14页纸2025-10-10
- 冲刺必备:2025年中级统计师-统计实务-考前10页纸2025-10-10
- 统计师考前冲刺:2025年中级统计师-统计法规-考前5页纸2025-10-10
- 统计师考试倒计时!2025年初级+中级考前几页纸关键知识点速记2025-10-10
- 免费下载-考前急救!2025年初级统计师考前几页纸(汇总)2025-10-09

