2009年统计师《统计基础知识》抽样与抽样分布(8)
更新时间:2009-10-19 15:27:29
来源:|0
浏览
收藏
统计师报名、考试、查分时间 免费短信提醒
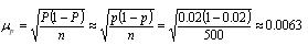
例4 某企业生产一批灯泡,共10000只,随机抽取500只,作耐用实验。测算结果平均使用寿命为5000小时,样本标准差为300小时,500只中发现10只不合格,求样本平均数和样本成数的抽样平均误差。
解:由于没有总体标准差,用样本资料代替。可用重复抽样与不重复抽样两种公式计算。
① 样本平均数的抽样平均误差:
重复抽样的抽样平均误差:

不重复抽样的抽样品军误差:

① 样本成数的抽样平均误差:

重复抽样的抽样平均误差:

不重复抽样的抽样平均误差:

编辑推荐
最新资讯
- 倒计时5天!2025年统计师考试考前必背考前几页纸!(初级+中级)2025-10-14
- 仅剩9天!2025年统计师考试考前冲刺备考资料免费下载(初级+中级)2025-10-10
- 免费下载!冲刺阶段的复习宝典-2025年中级统计师考前几页纸(各科目汇总)2025-10-10
- 必背资料!2025年中级统计师考试-经济学基础知识-考前10页纸2025-10-10
- 冲刺宝典!2025年中级统计师考试-会计基础知识-考前12页纸2025-10-10
- 考前必背!2025年中级统计师-统计学基础知识-考前14页纸2025-10-10
- 冲刺必备:2025年中级统计师-统计实务-考前10页纸2025-10-10
- 统计师考前冲刺:2025年中级统计师-统计法规-考前5页纸2025-10-10
- 统计师考试倒计时!2025年初级+中级考前几页纸关键知识点速记2025-10-10
- 免费下载-考前急救!2025年初级统计师考前几页纸(汇总)2025-10-09

