2009年统计师《统计基础知识》参数评估(5)
更新时间:2009-10-19 15:27:29
来源:|0
浏览
收藏
统计师报名、考试、查分时间 免费短信提醒
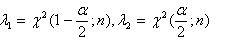
2.总体方差的区间估计
方差 的区间估计,按均值μ为已知与未知两种情形讨论。
(1) 均值μ已知的情形
设总体X~N(μ, ),且均值μ已知,方差 为待估参数。(X1,X2,…Xn)为样本,对每个Xi标准化后得:

称随机变量 服从自由度为n的 分布。
对于给定的置信度1-α及相应的临界值:


通过推导可以得到μ为已知时,方差 的一个置信度为1-α的置信区间:
编辑推荐
最新资讯
- 2026年统计师考试大纲预计不变,继续沿用2021版大纲2026-01-22
- 2026年初级统计师备考资料:免费下载—初级统计师历年真题(2020-2025)2026-01-14
- 倒计时5天!2025年统计师考试考前必背考前几页纸!(初级+中级)2025-10-14
- 仅剩9天!2025年统计师考试考前冲刺备考资料免费下载(初级+中级)2025-10-10
- 免费下载!冲刺阶段的复习宝典-2025年中级统计师考前几页纸(各科目汇总)2025-10-10
- 必背资料!2025年中级统计师考试-经济学基础知识-考前10页纸2025-10-10
- 冲刺宝典!2025年中级统计师考试-会计基础知识-考前12页纸2025-10-10
- 考前必背!2025年中级统计师-统计学基础知识-考前14页纸2025-10-10
- 冲刺必备:2025年中级统计师-统计实务-考前10页纸2025-10-10
- 统计师考前冲刺:2025年中级统计师-统计法规-考前5页纸2025-10-10

