2009年统计师《统计基础知识》抽样与抽样分布(2)
更新时间:2009-10-19 15:27:29
来源:|0
浏览
收藏
统计师报名、考试、查分时间 免费短信提醒
(1) 参数与统计量
参数:是研究者想要了解的总体的某种特征值。
总体平均数μ,总体标准差σ,总体比例 等,通常用希腊字母表示。
总体是唯一确定的,因此总体参数也是唯一确定的。
统计量:样本来自总体,样本的性质在一定程度上可以反映出所在总体的性质。但为了解总体,需要对样本进行“加工”,以提取其中有益信息。
所谓对样本加工是针对不同的统计问题构造一个不含未知参数的样本函数,这样的函数称为统计量。常用的统计量有如下几个。
1、样本均值:是样本的算术平均数,它反映了总体的数学期望信息。

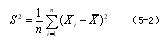
2、样本方差:是样本的平均偏差平方和。它反映了总体方差的信息。
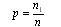
3、样本成数:反映了总体成数的信息。

n1表示具有某种属性的单位个数,n表示样本的总单位数
样本均值、样本成数、样本方差(或标准差)统称为样本指标。是随机变量。
(3)重复抽样与不重复抽样。
重复抽样(有放回抽样)是把总体中已抽取的样本单位再放回总体中去,重复地参加以下的抽样
不重复抽样(无放回抽样)是某一单位在被抽中之后,就不再放回总体重复参加以后各次的抽样。
编辑推荐
最新资讯
- 2026年统计师考试大纲预计不变,继续沿用2021版大纲2026-01-22
- 2026年初级统计师备考资料:免费下载—初级统计师历年真题(2020-2025)2026-01-14
- 倒计时5天!2025年统计师考试考前必背考前几页纸!(初级+中级)2025-10-14
- 仅剩9天!2025年统计师考试考前冲刺备考资料免费下载(初级+中级)2025-10-10
- 免费下载!冲刺阶段的复习宝典-2025年中级统计师考前几页纸(各科目汇总)2025-10-10
- 必背资料!2025年中级统计师考试-经济学基础知识-考前10页纸2025-10-10
- 冲刺宝典!2025年中级统计师考试-会计基础知识-考前12页纸2025-10-10
- 考前必背!2025年中级统计师-统计学基础知识-考前14页纸2025-10-10
- 冲刺必备:2025年中级统计师-统计实务-考前10页纸2025-10-10
- 统计师考前冲刺:2025年中级统计师-统计法规-考前5页纸2025-10-10

