2009年统计师《统计基础知识》抽样与抽样分布(6)
更新时间:2009-10-19 15:27:29
来源:|0
浏览
收藏
统计师报名、考试、查分时间 免费短信提醒
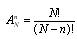
不重复抽样条件下,从4个单位中,抽选2个单位为样本,根据排列方法可知,不重复抽样的样本排列的可能数目的计算公式为:
于足
即可排列出12个样本。每个样本都可计算平均日产量,而且他们与 有离差,计算并用表列出如下:
|
样本序号 |
样本单位名称 |
样本单位标志值 |
样本平均数
xi |
离差
|
离差平方
|
|
1 |
A,B |
40,45 |
42.5 |
-7.5 |
56.25 |
|
2 |
A,C |
40,55 |
47.5 |
-2.5 |
6.25 |
|
3 |
A,D |
40,60 |
50 |
0 |
0 |
|
4 |
B,A |
45,40 |
42.5 |
-7.5 |
56.25 |
|
5 |
B,C |
45,55 |
50 |
0 |
0 |
|
6 |
B,D |
45,60 |
52.5 |
2.5 |
6.25 |
|
7 |
C,A |
55,40 |
47.5 |
-2.5 |
6.25 |
|
8 |
C,B |
55,45 |
50 |
0 |
0 |
|
9 |
C,D |
55,60 |
57.5 |
7.5 |
56.25 |
|
10 |
D,A |
60,40 |
50 |
0 |
0 |
|
11 |
D,B |
60,45 |
52.5 |
2.5 |
6.25 |
|
12 |
D,C |
60,55 |
57.5 |
7.5 |
56.25 |
|
总计 |
- |
- |
- |
- |
250 |
所以,抽样平均误差为:
编辑推荐
最新资讯
- 倒计时5天!2025年统计师考试考前必背考前几页纸!(初级+中级)2025-10-14
- 仅剩9天!2025年统计师考试考前冲刺备考资料免费下载(初级+中级)2025-10-10
- 免费下载!冲刺阶段的复习宝典-2025年中级统计师考前几页纸(各科目汇总)2025-10-10
- 必背资料!2025年中级统计师考试-经济学基础知识-考前10页纸2025-10-10
- 冲刺宝典!2025年中级统计师考试-会计基础知识-考前12页纸2025-10-10
- 考前必背!2025年中级统计师-统计学基础知识-考前14页纸2025-10-10
- 冲刺必备:2025年中级统计师-统计实务-考前10页纸2025-10-10
- 统计师考前冲刺:2025年中级统计师-统计法规-考前5页纸2025-10-10
- 统计师考试倒计时!2025年初级+中级考前几页纸关键知识点速记2025-10-10
- 免费下载-考前急救!2025年初级统计师考前几页纸(汇总)2025-10-09

