2010年《统计基础理论》相关分析资料详解(二)
2.相关关系的测定——相关系数
为了从数量上具体说明现象之间相关关系的方向和密切程度,需要计算相关系数。
(1)相关系数的定义
相关系数是测定变量之间关系密切程度的量。对两个变量之间的线性相关程度的度量称为单相关系数。通常以 表示总体的相关系数,以r表示样本的相关系数。
总体相关系数的定义公式是:


其中: 和 分别是X和Y的样本数据。样本相关系数是根据样本数据计算的,抽取的样本不同,其具体的数值也会有所差异。
(2)样本相关系数的特点
样本相关系数r有如下特点:
①相关系数的值介于–1与+1之间,即–1≤r≤+1。
当r>0时,表示两变量正相关,当r<0时,表示两变量为负相关。
②当|r|=1时,表示两变量为完全线性相关。当r=1时,称为完全正相关,而当r=-1时,称为完全负相关。
③当r=0时,表示两变量间无线性相关关系。
④当0<|r|<1时,表示两变量存在一定程度的线性相关。且|r|越接近1,两变量间线性关系越密切;|r|越接近于0,表示两变量的线性相关越弱。
⑤r是对变量之间的线性相关关系的量度。r=0只是表明两个变量之间不存在线性关系,但可以存在着非线性关系,这时需要利用其它指标去进行分析。关于这一问题,本教材不做讨论。
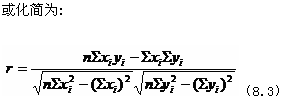
(3)相关系数的计算
通常使用公式(8.3)
![]()
(4)相关系数的显著性检验
在实际的客观分析中,相关系数一般都是利用样本数据计算的,因而带有一定的随机性。样本容量越小其可信度就越差,因此也需要进行检验。相关系数的显著性检验问题可分为两类:一是对总体的相关系数是否等于0进行检验;二是对总体的相关系数是否等于某一个给定的不为0的数值进行检验。限于篇幅,本教材,只对总体相关系数 是否等于0进行检验。
数学上可以证明,在随机变量X和Y都服从正态分布,并且又有 的条件下,可以采用t检验法来确定r的显著性。其步骤如下:
①提出假设: ②计算检验统计量t的值:


2010年统计师考试辅导招生简章 转自环球网校edu24ol.com
最新资讯
- 2026年统计师考试大纲预计不变,继续沿用2021版大纲2026-01-22
- 2026年初级统计师备考资料:免费下载—初级统计师历年真题(2020-2025)2026-01-14
- 倒计时5天!2025年统计师考试考前必背考前几页纸!(初级+中级)2025-10-14
- 仅剩9天!2025年统计师考试考前冲刺备考资料免费下载(初级+中级)2025-10-10
- 免费下载!冲刺阶段的复习宝典-2025年中级统计师考前几页纸(各科目汇总)2025-10-10
- 必背资料!2025年中级统计师考试-经济学基础知识-考前10页纸2025-10-10
- 冲刺宝典!2025年中级统计师考试-会计基础知识-考前12页纸2025-10-10
- 考前必背!2025年中级统计师-统计学基础知识-考前14页纸2025-10-10
- 冲刺必备:2025年中级统计师-统计实务-考前10页纸2025-10-10
- 统计师考前冲刺:2025年中级统计师-统计法规-考前5页纸2025-10-10

