2010年《统计相关知识》:统计指数(4)
更新时间:2010-06-08 11:03:37
来源:|0
浏览
收藏
统计师报名、考试、查分时间 免费短信提醒
(2)数量指标综合指数的编制
以综合形式计算数量指标的总指数,称为数量指标综合指数。
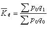
在计算数量指标综合指数时,以能够使数量指标过渡到可以相加的质量指标为同度量因素,并通常将其固定在基期的水平上。数量指标综合指数计算公式如下:

式中: 表示数量指标的综合指数;q1表示报告期数量指标;q0表示基期数量指标;p0表示基期的质量指标。
现以商品销售量总指数的编制为例,说明数量指标综合指数的编制方法。
例1 :某超市三种食品销售情况的资料,如表4-1所示
表4-1 某超市三种食品销售情况
|
商品名称 |
计量单位 |
价格/元 |
销售量 |
||
|
基期( |
报告期( |
基期( |
报告期( |
||
|
鸡蛋 鲤鱼 海参 |
只 条 千克 |
0.5 10 100 |
0.55 10 95 |
10500 1000 400 |
10000 1200 600 |
要求计算三种食品的销售量个体指数和综合指数
2010年统计师考试辅导招生简章 转自环球网校edu24ol.com
编辑推荐
最新资讯
- 2026年统计师考试大纲预计不变,继续沿用2021版大纲2026-01-22
- 2026年初级统计师备考资料:免费下载—初级统计师历年真题(2020-2025)2026-01-14
- 倒计时5天!2025年统计师考试考前必背考前几页纸!(初级+中级)2025-10-14
- 仅剩9天!2025年统计师考试考前冲刺备考资料免费下载(初级+中级)2025-10-10
- 免费下载!冲刺阶段的复习宝典-2025年中级统计师考前几页纸(各科目汇总)2025-10-10
- 必背资料!2025年中级统计师考试-经济学基础知识-考前10页纸2025-10-10
- 冲刺宝典!2025年中级统计师考试-会计基础知识-考前12页纸2025-10-10
- 考前必背!2025年中级统计师-统计学基础知识-考前14页纸2025-10-10
- 冲刺必备:2025年中级统计师-统计实务-考前10页纸2025-10-10
- 统计师考前冲刺:2025年中级统计师-统计法规-考前5页纸2025-10-10

