2010年《统计相关知识》:统计指数(10)
更新时间:2010-06-17 10:05:19
来源:|0
浏览
收藏
统计师报名、考试、查分时间 免费短信提醒
(四)平均指标指数
1.平均指标指数的概念
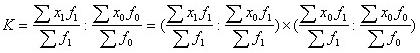
平均指标指数是两个不同时期或不同空间的平均指标之比。这里的平均指标不仅包括前面定义的平均指标,也包括形式上与平均指标相似的相对指标。平均指标指数的一般公式:

2.平均指标指数体系转自环球网校edu24ol.com
进行因素分析的关键问题之一在于确定同度量的因素。选择同度量因素,由加权算术平均数公式确定,即指标与加权比率互为同度量的因素。加权比率就是相对数中的结构指标,又称构成指标。

此公式中,平均指标指数即式中第一个指数,既包括各组指标的变动,也包括结构的变动,因而称为可变构成指数;第二个指数是将结构固定在报告期,以反映各组指标值的变动,称为固定构成指数;第三个指数是将各组指标固定在基期,反映结构的变动,因而称为结构影响指数。
2010年统计师考试辅导招生简章 转自环球网校edu24ol.com
编辑推荐
最新资讯
- 2026年统计师考试大纲预计不变,继续沿用2021版大纲2026-01-22
- 2026年初级统计师备考资料:免费下载—初级统计师历年真题(2020-2025)2026-01-14
- 倒计时5天!2025年统计师考试考前必背考前几页纸!(初级+中级)2025-10-14
- 仅剩9天!2025年统计师考试考前冲刺备考资料免费下载(初级+中级)2025-10-10
- 免费下载!冲刺阶段的复习宝典-2025年中级统计师考前几页纸(各科目汇总)2025-10-10
- 必背资料!2025年中级统计师考试-经济学基础知识-考前10页纸2025-10-10
- 冲刺宝典!2025年中级统计师考试-会计基础知识-考前12页纸2025-10-10
- 考前必背!2025年中级统计师-统计学基础知识-考前14页纸2025-10-10
- 冲刺必备:2025年中级统计师-统计实务-考前10页纸2025-10-10
- 统计师考前冲刺:2025年中级统计师-统计法规-考前5页纸2025-10-10

