2010年《统计业务知识》:原因与规律分析(3)
更新时间:2010-06-24 09:55:29
来源:|0
浏览
收藏
统计师报名、考试、查分时间 免费短信提醒
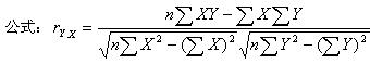
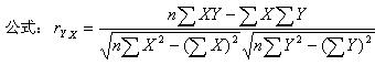
(2) 通过相关分析,具体分析这种关系的紧密程度
通过散点图看到,人均可支配收入与人均消费性支出存在显著的相关关系,其紧密程度可通过计算相关系数进行分析。求积差相关。

n为样本容量
表3-2 相关系数计算表
|
年序号 |
Y |
X |
Y2 |
X2 |
XY |
|
1 2 3 4 5 6 7 8 |
4283 4839 5160 5425 5854 6280 6859 7703 |
3637 3919 4185 4331 4616 4998 5359 6030 |
18344089 23415921 26625600 29430625 34269316 39438400 47045881 59336209 |
13227769 15358561 17514225 18757561 21307456 24980004 28718881 36360900 |
15577271 18964041 21594600 23495675 27022064 31387440 36757381 46669090 |
|
|
46403 |
37075 |
277906041 |
176225357 |
221247562 |

由计算结果可以看出,某市城镇居民1995年—2002年人均可支配收入和人均消费性支出之间的相关系数为0.9983,存在很强的正相关关系。
以上计算方法也可以通过Excel软件很容易地求出。
2010年统计师考试辅导招生简章 转自环球网校edu24ol.com
编辑推荐
最新资讯
- 2026年统计师考试大纲预计不变,继续沿用2021版大纲2026-01-22
- 2026年初级统计师备考资料:免费下载—初级统计师历年真题(2020-2025)2026-01-14
- 倒计时5天!2025年统计师考试考前必背考前几页纸!(初级+中级)2025-10-14
- 仅剩9天!2025年统计师考试考前冲刺备考资料免费下载(初级+中级)2025-10-10
- 免费下载!冲刺阶段的复习宝典-2025年中级统计师考前几页纸(各科目汇总)2025-10-10
- 必背资料!2025年中级统计师考试-经济学基础知识-考前10页纸2025-10-10
- 冲刺宝典!2025年中级统计师考试-会计基础知识-考前12页纸2025-10-10
- 考前必背!2025年中级统计师-统计学基础知识-考前14页纸2025-10-10
- 冲刺必备:2025年中级统计师-统计实务-考前10页纸2025-10-10
- 统计师考前冲刺:2025年中级统计师-统计法规-考前5页纸2025-10-10

