2010年《统计相关知识》辅导:速度指标(2)
更新时间:2010-07-09 13:30:27
来源:|0
浏览
收藏
统计师报名、考试、查分时间 免费短信提醒
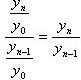
定基发展速度与环比发展速度的关系有:
第一,定基发展速度等于相应时期内各环比发展速度的连乘积:

第二,两个相邻时期定基发展速度的比率等于相应时期的环比发展速度;

实际工作中,经常利用上述关系式对发展速度指标进行推算或换算。
③年距发展速度
![]()
它消除了季节变动的影响,表明本期水平相对于上年同期水平发展变化的方向与程度,是实际统计分析中经常应用的指标。
2010年审计师考试辅导招生简章 转自环球网校edu24ol.com
编辑推荐
最新资讯
- 2026年统计师考试大纲预计不变,继续沿用2021版大纲2026-01-22
- 2026年初级统计师备考资料:免费下载—初级统计师历年真题(2020-2025)2026-01-14
- 倒计时5天!2025年统计师考试考前必背考前几页纸!(初级+中级)2025-10-14
- 仅剩9天!2025年统计师考试考前冲刺备考资料免费下载(初级+中级)2025-10-10
- 免费下载!冲刺阶段的复习宝典-2025年中级统计师考前几页纸(各科目汇总)2025-10-10
- 必背资料!2025年中级统计师考试-经济学基础知识-考前10页纸2025-10-10
- 冲刺宝典!2025年中级统计师考试-会计基础知识-考前12页纸2025-10-10
- 考前必背!2025年中级统计师-统计学基础知识-考前14页纸2025-10-10
- 冲刺必备:2025年中级统计师-统计实务-考前10页纸2025-10-10
- 统计师考前冲刺:2025年中级统计师-统计法规-考前5页纸2025-10-10

