2010年《统计相关知识》辅导:速度指标(13)
更新时间:2010-07-28 10:56:57
来源:|0
浏览
收藏
统计师报名、考试、查分时间 免费短信提醒
(三)时间数列的分析与预测
3.季节因素的测定
季节性因素测定是通过季节指数来表示各年的季节成分,以此来描述各年的季节变动模式。其分析步骤是:先计算出季节指数,再消除季节性因素。
本节只介绍移动平均趋势剔除法。下面通过例题介绍移动平均趋势剔除法的具体步骤。
例17:某商场空调销售量如表3-23中第二列,用移动平均趋势剔除法测定该数列的季节指数。表3-23 某商场空调销售量的季节变动测定


说明一下上表中的计算步骤:
第一步:计算中心化的移动平均数,取k=12,移动平均数需要做两次。第一次前12个数据求平均,依此类推,求出一列数据,再进行二次移动,两两求平均值,得到第3列数据。或者直接使用公式(3·22)直接求出。
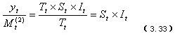
第二步:计算季节比率及其平均数,各个时期的实际值 与相应的中心化移动平均数 的比率显示季节变动和随机变动的综合作用:

该指标称季节比率,即用原数列各期实际值除以移动平均得出的趋势值T,此比率消除了长期趋势因素的影响。
2011年注册会计师辅导优惠套餐 转自环 球 网 校edu24ol.com
编辑推荐
最新资讯
- 2026年统计师考试大纲预计不变,继续沿用2021版大纲2026-01-22
- 2026年初级统计师备考资料:免费下载—初级统计师历年真题(2020-2025)2026-01-14
- 倒计时5天!2025年统计师考试考前必背考前几页纸!(初级+中级)2025-10-14
- 仅剩9天!2025年统计师考试考前冲刺备考资料免费下载(初级+中级)2025-10-10
- 免费下载!冲刺阶段的复习宝典-2025年中级统计师考前几页纸(各科目汇总)2025-10-10
- 必背资料!2025年中级统计师考试-经济学基础知识-考前10页纸2025-10-10
- 冲刺宝典!2025年中级统计师考试-会计基础知识-考前12页纸2025-10-10
- 考前必背!2025年中级统计师-统计学基础知识-考前14页纸2025-10-10
- 冲刺必备:2025年中级统计师-统计实务-考前10页纸2025-10-10
- 统计师考前冲刺:2025年中级统计师-统计法规-考前5页纸2025-10-10


