2011统计相关知识:相关分析与回归分析(4)
更新时间:2010-11-09 10:02:33
来源:|0
浏览
收藏
统计师报名、考试、查分时间 免费短信提醒
2.相关关系的测定——相关系数
为了从数量上具体说明现象之间相关关系的方向和密切程度,需要计算相关系数。
(1)相关系数的定义
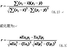
相关系数是测定变量之间关系密切程度的量。对两个变量之间的线性相关程度的度量称为单相关系数。通常以 表示总体的相关系数,以r表示样本的相关系数。
总体相关系数的定义公式是:

其中: cov(x,y)是随机变量X和Y的协方差; var(x)和var(y)分别是随机变量X和Y的方差。总体的相关系数是反映两个变量之间线性相关程度的一种特征值,表现为一个常数。样本的相关系数的定义公式为:

其中: 和 分别是X和Y的样本数据。样本相关系数是根据样本数据计算的,抽取的样本不同,其具体的数值也会有所差异。
编辑推荐
最新资讯
- 2026年统计师考试大纲预计不变,继续沿用2021版大纲2026-01-22
- 2026年初级统计师备考资料:免费下载—初级统计师历年真题(2020-2025)2026-01-14
- 倒计时5天!2025年统计师考试考前必背考前几页纸!(初级+中级)2025-10-14
- 仅剩9天!2025年统计师考试考前冲刺备考资料免费下载(初级+中级)2025-10-10
- 免费下载!冲刺阶段的复习宝典-2025年中级统计师考前几页纸(各科目汇总)2025-10-10
- 必背资料!2025年中级统计师考试-经济学基础知识-考前10页纸2025-10-10
- 冲刺宝典!2025年中级统计师考试-会计基础知识-考前12页纸2025-10-10
- 考前必背!2025年中级统计师-统计学基础知识-考前14页纸2025-10-10
- 冲刺必备:2025年中级统计师-统计实务-考前10页纸2025-10-10
- 统计师考前冲刺:2025年中级统计师-统计法规-考前5页纸2025-10-10

