2011统计业务知识预习:统计分析与写作(8)
(2)加权平均综合法
加权平均综合法是指对经过同度量处理的指标数值通过加权平均进行综合,形成一个总值,再按照总值的大小排出各参评单位的位次,从而达到综合评价目的方法。
【加权平均综合法例示】
采用加权平均综合法对表2-17经函数化处理后的指标数值进行综合。具体做法:首先对每个省市的各指标数值分别乘以归一化处理后的权数,然后相加,从而得到综合值(表2-23倒数第二行)
表2-23 部分省区综合经济效益加权平均综合值计算表
|
指标名称 |
权数 |
北京 |
天津 |
上海 |
江苏 |
浙江 |
广东 |
|
总资产贡献率 资本保值增值率 资产负债率 流动资产周转率 成本费用利润率 工业全员劳动生产率 产品销售率 |
0.20 0.16 0.12 0.15 0.14 0.10 0.13 |
11.75 10.24 6.81 9.90 8.97 9.05 12.49 |
12.47 11.09 6.22 11.58 9.10 7.95 12.46 |
13.47 11.16 8.53 11.28 9.66 10.63 12.50 |
13.77 10.90 6.66 13.38 8.47 8.07 11.95 |
16.80 12.25 7.47 13.56 9.79 8.28 11.79 |
13.23 11.29 6.67 12.54 8.76 9.38 12.10 |
|
综合值 |
1.00 |
69.20 |
70.87 |
77.23 |
73.21 |
79.94 |
73.97 |
|
各省市排序 |
- |
6 |
5 |
2 |
4 |
1 |
3 |
从加权平均后的结果看,所列示的各省市经济效益状况排序结果与简单综合法是一样的。但是,这并不是说加权平均和简单综合得到的综合值应该一致,在许多综合评价中,由于权数所起的作用,两种方法得到的结论有可能不致。
(3)综合记分法
综合记分法是指对各指标数值通过对比记分,转换为分值,然后将各部分值加总,计算综合分值,从而进行比较排序的方法。
步骤:首先对各指标进行同度量处理,一般常采用相对化处理;
然后根据记分的规定进行评分;
最后,对每一单位的各项指标的分值进行汇总,并根据汇总结果进行比较排序。分值的汇总可以是对各项指标分值的简单相加,也可以进行加权计算。由于汇总方法不同,最后对汇总结果的排序有可能不同。
关于记分法:记分法的设定是多种多样的,可实行三档记分法,也可实行五档记分法。当指标的实际值均为动态相对数时,可以按各指标的变动幅度设定记分法,对其他指标则一般是在指标值的同度是处理后按设定的记分法进行记分。

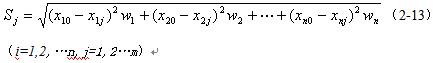
第三步,根据第二步计算出的各单位指标实际值与标准值之间的总距离进行评价。
距离标准值越近,即Sj越小,说明综合状态越好;距离标准值越远,即Sj越大,说明综合状态越差。
此外还要加以说明的是,在应用距离法对指标数据进行综合之前,可以先对其进行相对化处理,用指标的实际值 分别除以标准值 ,得到相对化处理后的指标实际值
,这样可以简化计算。
最新资讯
- 2026年统计师考试大纲预计不变,继续沿用2021版大纲2026-01-22
- 2026年初级统计师备考资料:免费下载—初级统计师历年真题(2020-2025)2026-01-14
- 倒计时5天!2025年统计师考试考前必背考前几页纸!(初级+中级)2025-10-14
- 仅剩9天!2025年统计师考试考前冲刺备考资料免费下载(初级+中级)2025-10-10
- 免费下载!冲刺阶段的复习宝典-2025年中级统计师考前几页纸(各科目汇总)2025-10-10
- 必背资料!2025年中级统计师考试-经济学基础知识-考前10页纸2025-10-10
- 冲刺宝典!2025年中级统计师考试-会计基础知识-考前12页纸2025-10-10
- 考前必背!2025年中级统计师-统计学基础知识-考前14页纸2025-10-10
- 冲刺必备:2025年中级统计师-统计实务-考前10页纸2025-10-10
- 统计师考前冲刺:2025年中级统计师-统计法规-考前5页纸2025-10-10

