2011统计业务知识预习:统计分析与写作(13)
更新时间:2010-11-19 10:12:15
来源:|0
浏览
收藏
统计师报名、考试、查分时间 免费短信提醒
通过以上表结果可见,通过距离法综合后的排序与前面功效系数法综合后的排序是不同的。这也反映了这类方法存在的结果不唯一的问题:不同的赋权结果可能不同,不同的消除量纲方法结果有可能不同,不同的方法也有可能导致结果的不同。因此,进行综合评价只能作为一种参考,而不能作为一种绝对的评判标准。
【07年单选题】
20.对于非单向变化的指标(如通货膨胀率),较为适宜的综合评价方法是( )。
A.直接综合法 B.加权平均综合法
C.综合记分法 D.距离法
【答案】D
在线练习题
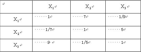
1.有三个指标 、 、 通过老师评判进行两两比较后,其初始权数形成下表形式的判断矩阵

对上述资料计算每行各标度的几何平均数,最后进行“归一化处理”的结果为( )。
A.0.3035;0.2950;0.4015 B.0.9196;0.8939;1.2165
C.1.0874;1.1187;0.8221 D.3.2948;3.3895;2.4909
答案:A
编辑推荐
最新资讯
- 2026年统计师考试大纲预计不变,继续沿用2021版大纲2026-01-22
- 2026年初级统计师备考资料:免费下载—初级统计师历年真题(2020-2025)2026-01-14
- 倒计时5天!2025年统计师考试考前必背考前几页纸!(初级+中级)2025-10-14
- 仅剩9天!2025年统计师考试考前冲刺备考资料免费下载(初级+中级)2025-10-10
- 免费下载!冲刺阶段的复习宝典-2025年中级统计师考前几页纸(各科目汇总)2025-10-10
- 必背资料!2025年中级统计师考试-经济学基础知识-考前10页纸2025-10-10
- 冲刺宝典!2025年中级统计师考试-会计基础知识-考前12页纸2025-10-10
- 考前必背!2025年中级统计师-统计学基础知识-考前14页纸2025-10-10
- 冲刺必备:2025年中级统计师-统计实务-考前10页纸2025-10-10
- 统计师考前冲刺:2025年中级统计师-统计法规-考前5页纸2025-10-10

