2011年《统计业务知识》预习:原因与规律(3)
更新时间:2010-12-09 10:02:51
来源:|0
浏览
收藏
统计师报名、考试、查分时间 免费短信提醒
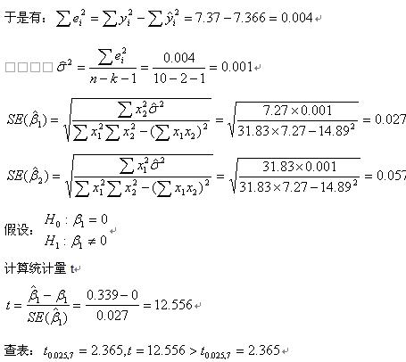
(1) 对回归系数显著性的检验
对于多元线性回归模型,如果方程的总体线性关系是显著的,并不能说明每个解释变量对被解释变量的影响都是显著的,必须对每个解释变量进行显著性检验,以决定是否将其作为解释变量保留在模型中。如果某个变量对被解释变量的影响并不显著,应该将它剔除,以建立更为简单的模型。
对多元线性回归模型的回归系数显著性进行检验的方法与一元线性回归模型中所用的方法相同。只是参数估计量![]()


置信概率下,前一期人均居民消费额对人均居民消费额的影响是显著的。
编辑推荐
最新资讯
- 2026年统计师考试大纲预计不变,继续沿用2021版大纲2026-01-22
- 2026年初级统计师备考资料:免费下载—初级统计师历年真题(2020-2025)2026-01-14
- 倒计时5天!2025年统计师考试考前必背考前几页纸!(初级+中级)2025-10-14
- 仅剩9天!2025年统计师考试考前冲刺备考资料免费下载(初级+中级)2025-10-10
- 免费下载!冲刺阶段的复习宝典-2025年中级统计师考前几页纸(各科目汇总)2025-10-10
- 必背资料!2025年中级统计师考试-经济学基础知识-考前10页纸2025-10-10
- 冲刺宝典!2025年中级统计师考试-会计基础知识-考前12页纸2025-10-10
- 考前必背!2025年中级统计师-统计学基础知识-考前14页纸2025-10-10
- 冲刺必备:2025年中级统计师-统计实务-考前10页纸2025-10-10
- 统计师考前冲刺:2025年中级统计师-统计法规-考前5页纸2025-10-10

