当前位置: 首页 > 统计师 > 统计师备考资料 > 2011年《统计相关知识》预习:假设检验(2)

2011年《统计相关知识》预习:假设检验(2)

更新时间:2010-12-14 10:06:38 来源:|0 浏览0收藏0

统计师报名、考试、查分时间 免费短信提醒

地区

获取验证 立即预约

请填写图片验证码后获取短信验证码

看不清楚,换张图片

免费获取短信验证码

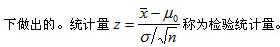
  2.假设检验的概率依据

   

   

   

    2011年统计师网络辅导招生简章

    2010年统计师考后学员交流反馈

    2011年考试时间预估:10月23日

    

分享到: 编辑:环球网校

资料下载 精选课程 老师直播 真题练习

统计师资格查询

统计师历年真题下载 更多

统计师每日一练 打卡日历

0
累计打卡
0
打卡人数
去打卡

预计用时3分钟

环球网校移动课堂APP 直播、听课。职达未来!

安卓版

下载

iPhone版

下载

返回顶部