2011年《统计相关知识》预习:统计指数(6)
2.平均指数的编制方法
平均指数是计算总指数的另一种形式,它是在个体指数的基础上编制总指数的一种方法,即先计算出个体指数,然后对其进行加权平均计算总指数,以测定总体现象的平均变动程度。
(1)加权算术平均指数
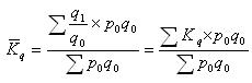
加权算术平均指数的数量指数公式:

由综合指数变形为加权算术平均指数时,应以相应的综合指数的分母做权数。
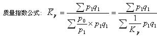
(2)加权调和平均指数

由综合指数变形为加权调和平均指数时,应以相应的综合指数的分子作权数。
例5: 已知某市场三种食品食品情况如表4-4所示。计算三种食品的销售量总指数。
表4-4 三种食品的销售资料
|
商品名称 |
计量单位 |
上月销售额p0q0(元) |
销售个体指数(%) |
|
鸡蛋 鲤鱼 海参 |
只 条 千克 |
5000 10000 40000 |
90 110 125 |
解:根据表4-4的资料,计算三种食品的销售量总指数应采用加权算术平均指数形式,以基期销售额作为权数,即

计算结果表明,三种食品的销售量总体上比基期增长了19.09%。由于销售量的增长,使得销售额增加了65500-55000=10500(元)
3.平均指数和综合指数的区别及联系
(1)平均指数和综合指数的区别
①综合指数是通过引进同度量因素,先计算出总体的总量,然后再进行对比,即先综合,后对比;平均指数是在个体指数的基础上计算总指数,即先对比,后综合;
②综合指数需要研究总体的全面资料,对于综合作用的同度量因素的资料要求也比较严格,一般应采用与指数化指标有明确经济联系的指标,且应有一一对应的全面实际资料;而平均指数既适用于全面的资料,也适用于非全面的资料,其对资料要求比较灵活。
(2)平均指数和综合指数的联系
在一定的权数条件下,两类指数间有转换关系。由于这种关系存在,当掌握的资料不能直接用综合指数形式计算时,则可用它转换的平均指数形式计算。这种条件下的平均指数和与其对应的综合指数具有完全相同的经济意义和计算结果。
需要提示一点:平均指数是以个体指数为基础计算的,如果知道现象的提高或降低程度,应化为个体指数后,才能按平均指数公式计算总指数。如提高6%或降低4%,个体指数为106%或96%。
[例题?多选题]平均指数的特点,包括( )。
A.它是在个体指数基础上计算的总指数B.对同度量因素资料的要求较为严格C.属于加权指数形式D.在性质上只有相对性和平均性,没有综合性E.对资料要求比较灵活,可以用非全面资料计算
答案:ACE
[例题?判断题]当掌握的资料不能直接用综合指数形式计算时,则可以用转换形式的平均指数计算。
答案:正确
最新资讯
- 2026年统计师考试大纲预计不变,继续沿用2021版大纲2026-01-22
- 2026年初级统计师备考资料:免费下载—初级统计师历年真题(2020-2025)2026-01-14
- 倒计时5天!2025年统计师考试考前必背考前几页纸!(初级+中级)2025-10-14
- 仅剩9天!2025年统计师考试考前冲刺备考资料免费下载(初级+中级)2025-10-10
- 免费下载!冲刺阶段的复习宝典-2025年中级统计师考前几页纸(各科目汇总)2025-10-10
- 必背资料!2025年中级统计师考试-经济学基础知识-考前10页纸2025-10-10
- 冲刺宝典!2025年中级统计师考试-会计基础知识-考前12页纸2025-10-10
- 考前必背!2025年中级统计师-统计学基础知识-考前14页纸2025-10-10
- 冲刺必备:2025年中级统计师-统计实务-考前10页纸2025-10-10
- 统计师考前冲刺:2025年中级统计师-统计法规-考前5页纸2025-10-10

