2011年《统计相关知识》预习:统计指数(7)
更新时间:2011-01-27 13:29:46
来源:|0
浏览
收藏
统计师报名、考试、查分时间 免费短信提醒
(三)指数体系及其因素分析 $lesson$
1.综合指数体系因素分析
(1)指数体系的概念
从广义上说,指数体系是由若干个经济上具有一定联系的指数所构成的一个整体。从狭义上讲,指数体系是指经济上具有一定联系,且具有一定的数量对等关系的三个或三个以上的指数所构成的一个整体。如:商品销售额指数=商品价格指数 商品销售量指数
(2)指数因素分析方法
指数因素是利用指数体系,对现象的综合变动从数量上分析其受各因素影响的方向、程度及绝对数量。
按分析对象的范围大小不同,可以分为简单现象因素分析和复杂现象因素分析;
按影响因素的多少不同,可分为两因素指数分析和多因素指数分析。
(3)指数因素分析法的步骤:
①确定分析的对象和影响因素;见课本P102
②确定分析对象指标和影响因素指标,并列出其关系式;
③建立分析指数体系及绝对增减量关系式;
④分析各因素变动对对象变动的影响。
(4)综合指数体系分析
若分析的对象是复杂总体,应采用反映多项事物综合变动的指数体系,即综合指数体系。该指数体系可以表示为:

就绝对增减量水平,其关系式为:
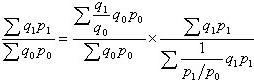
2.平均指数体系因素分析
平均指数体系因素分析中比较常用的是基期总量加权的算术平均数量指数和报告期总量加权的调和平均质量指数形成的指数体系。
该指数体系可以表示为:

就绝对增减量水平,其关系式为:
编辑推荐
最新资讯
- 2026年统计师考试大纲预计不变,继续沿用2021版大纲2026-01-22
- 2026年初级统计师备考资料:免费下载—初级统计师历年真题(2020-2025)2026-01-14
- 倒计时5天!2025年统计师考试考前必背考前几页纸!(初级+中级)2025-10-14
- 仅剩9天!2025年统计师考试考前冲刺备考资料免费下载(初级+中级)2025-10-10
- 免费下载!冲刺阶段的复习宝典-2025年中级统计师考前几页纸(各科目汇总)2025-10-10
- 必背资料!2025年中级统计师考试-经济学基础知识-考前10页纸2025-10-10
- 冲刺宝典!2025年中级统计师考试-会计基础知识-考前12页纸2025-10-10
- 考前必背!2025年中级统计师-统计学基础知识-考前14页纸2025-10-10
- 冲刺必备:2025年中级统计师-统计实务-考前10页纸2025-10-10
- 统计师考前冲刺:2025年中级统计师-统计法规-考前5页纸2025-10-10

