2011年《统计相关知识》预习:统计指数(10)
更新时间:2011-01-30 13:17:48
来源:|0
浏览
收藏
统计师报名、考试、查分时间 免费短信提醒
2.消费价格指数 $lesson$
居民消费价格指数是反映一定时期内城乡居民所购买的生活消费品价格和服务项目价格变动趋势和程度的一种相对数。通过这一指数,可以观察消费价格的变动水平以及对消费者货币支出的影响,研究实际收入和实际消费水平的变动状况。
居民消费价格指数可分为城市居民消费价格指数和农村居民消费价格指数,也可以编制全国居民消费价格指数。
3.股票价格指数
股票价格一般是指股票在证券市场上交易时的市场价格。股票价格是一个时点值。
股价平均数是股票市场上多种股票在某一时点上的算术平均值,一般以收盘价格来计算。

式中:pi为第i种股票的收盘价,n为样本股票数
股票价格指数是反映某一股票市场上多种股票价格变动趋势的一种相对数,简称股价指数,其单位一般用“点”(point)表示。即一般将基期指数作为100,每上升或下降一个单位称为“1点”
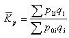
股价指数的计算方法一般以发行量为权数进行加权综合,其公式为:

式中:p1i为第i种股票的报告期价格,p0i为第i种股票的基期价格,qi为第i种股票的发行量,它可以确定为基期,也可以确定为报告期,但大多数股价指数是以报告期发行量为权数计算的。
编辑推荐
最新资讯
- 2026年统计师考试大纲预计不变,继续沿用2021版大纲2026-01-22
- 2026年初级统计师备考资料:免费下载—初级统计师历年真题(2020-2025)2026-01-14
- 倒计时5天!2025年统计师考试考前必背考前几页纸!(初级+中级)2025-10-14
- 仅剩9天!2025年统计师考试考前冲刺备考资料免费下载(初级+中级)2025-10-10
- 免费下载!冲刺阶段的复习宝典-2025年中级统计师考前几页纸(各科目汇总)2025-10-10
- 必背资料!2025年中级统计师考试-经济学基础知识-考前10页纸2025-10-10
- 冲刺宝典!2025年中级统计师考试-会计基础知识-考前12页纸2025-10-10
- 考前必背!2025年中级统计师-统计学基础知识-考前14页纸2025-10-10
- 冲刺必备:2025年中级统计师-统计实务-考前10页纸2025-10-10
- 统计师考前冲刺:2025年中级统计师-统计法规-考前5页纸2025-10-10

