相关知识:市场失灵与政府的微观经济政策(38)
更新时间:2011-05-20 09:31:37
来源:|0
浏览
收藏
统计师报名、考试、查分时间 免费短信提醒
2.开放经济中均衡产出的决定和乘数
将对外贸易引入宏观经济运行后,国民收入不仅决定于消费需求C、投资需求I,和政府支出G,而且取决于净出口NX。这时,四部门经济即开放经济的收入恒等式即为Y=C+I+G+NX。由于NX是内生变量,有自己的函数形式,因此,我们可以将净出口函数引进开放经济中的收入恒等式。在收入恒等式中引入净出口函数后,会改变我们在第四章中得到的均衡产出公式和乘数公式。
将净出口函数 代入到上面收入恒等式中,就可以得到开放经济中的均衡产出的公式

式中分子为所有的自发需求,分母为开放经济乘数,即每增加一个单位,国民收入Y的增加量将是增加的自发需求A的1/(1-c+m’)倍。
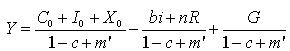
如果考虑到汇率, ,且 代入开放经济中的收入恒等式Y=C+I+G+NX中,就可以得到开放经济中的均衡产出的公式

从上式可以看出,在一个开放经济条件下的国民收入,既决定于自发需求和政府支出,也取决于开放经济乘数的大小,同时,也与利率、汇率等变量相关。
编辑推荐
最新资讯
- 2026年统计师考试大纲预计不变,继续沿用2021版大纲2026-01-22
- 2026年初级统计师备考资料:免费下载—初级统计师历年真题(2020-2025)2026-01-14
- 倒计时5天!2025年统计师考试考前必背考前几页纸!(初级+中级)2025-10-14
- 仅剩9天!2025年统计师考试考前冲刺备考资料免费下载(初级+中级)2025-10-10
- 免费下载!冲刺阶段的复习宝典-2025年中级统计师考前几页纸(各科目汇总)2025-10-10
- 必背资料!2025年中级统计师考试-经济学基础知识-考前10页纸2025-10-10
- 冲刺宝典!2025年中级统计师考试-会计基础知识-考前12页纸2025-10-10
- 考前必背!2025年中级统计师-统计学基础知识-考前14页纸2025-10-10
- 冲刺必备:2025年中级统计师-统计实务-考前10页纸2025-10-10
- 统计师考前冲刺:2025年中级统计师-统计法规-考前5页纸2025-10-10

