统计业务知识 辅导之:现状分析(6)
更新时间:2011-06-27 09:44:26
来源:|0
浏览
收藏
统计师报名、考试、查分时间 免费短信提醒
(2) 函数化处理方法
函数化处理方法又称功效函数法或功效系数法。
a. 这种方法的思路:利用功效系数将每个指标的实际值转化为用百分制表示的数值。
b. 不论是正指标还是逆指标,利用同一公式均可得到合理的分值。
c. 对各指标数值进行函数化处理的步骤:
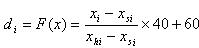
第一步,对每个指标确定阈值,包括一个上限值(即满意值) xhi和一个下限值(即不允许值) xsi
第二步,以上限值和下限值之差作为分母,实际值与下限值之差作为分子计算功效系数,其公式为:

第三步,运用所求出的各个功效系数对每个指标进行函数化处理,将指标实际值转化为用百分制表示的数值。
(3) 标准化处理方法
标准化处理方法是统计中一种常用的消除量纲影响的方法。这种方法在假定变量服从正态分布的前提下,将变量值转化为数学期望为0,方差为1的标准化数值,从而达到同度量的效果。标准化处理的具体步骤如下:
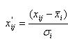
第一步,求出每一指标(变量)的算术平均值 和标准差 ,下角标i表示指标的顺序(i=1,2.…n)
第二步,按以下公式进行标准化处理:
式中,

第三步:将逆指标前的正负号对调。
标准化后的变量值围绕0上下波动,大于0说明高于平均水平,小于0说明低于平均水平。
标准化处理方法的优点是:它建立在科学的统计分布理论基础上,不用人为地凭经验选择阈值。运用统计分析软件,处理起来十分方便。
编辑推荐
最新资讯
- 2026年统计师考试大纲预计不变,继续沿用2021版大纲2026-01-22
- 2026年初级统计师备考资料:免费下载—初级统计师历年真题(2020-2025)2026-01-14
- 倒计时5天!2025年统计师考试考前必背考前几页纸!(初级+中级)2025-10-14
- 仅剩9天!2025年统计师考试考前冲刺备考资料免费下载(初级+中级)2025-10-10
- 免费下载!冲刺阶段的复习宝典-2025年中级统计师考前几页纸(各科目汇总)2025-10-10
- 必背资料!2025年中级统计师考试-经济学基础知识-考前10页纸2025-10-10
- 冲刺宝典!2025年中级统计师考试-会计基础知识-考前12页纸2025-10-10
- 考前必背!2025年中级统计师-统计学基础知识-考前14页纸2025-10-10
- 冲刺必备:2025年中级统计师-统计实务-考前10页纸2025-10-10
- 统计师考前冲刺:2025年中级统计师-统计法规-考前5页纸2025-10-10

