统计师相关知识 辅导:总指数及其编制方法(2)
更新时间:2011-07-22 10:33:48
来源:|0
浏览
收藏
统计师报名、考试、查分时间 免费短信提醒
2.平均指数的编制方法
平均指数是计算总指数的另一种形式,它是在个体指数的基础上编制总指数的一种方法,即先计算出个体指数,然后对其进行加权平均计算总指数,以测定总体现象的平均变动程度。
(1)加权算术平均指数
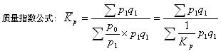
加权算术平均指数的数量指数公式:

由综合指数变形为加权算术平均指数时,应以相应的综合指数的分母做权数。
(2)加权调和平均指数

由综合指数变形为加权调和平均指数时,应以相应的综合指数的分子作权数。
例5: 已知某市场三种食品食品情况如表4-4所示。计算三种食品的销售量总指数。
表4-4 三种食品的销售资料

解:根据表4-4的资料,计算三种食品的销售量总指数应采用加权算术平均指数形式,以基期销售额作为权数,即

计算结果表明,三种食品的销售量总体上比基期增长了19.09%。由于销售量的增长,使得销售额增加了65500-55000=10500(元)
编辑推荐
最新资讯
- 2026年统计师考试大纲预计不变,继续沿用2021版大纲2026-01-22
- 2026年初级统计师备考资料:免费下载—初级统计师历年真题(2020-2025)2026-01-14
- 倒计时5天!2025年统计师考试考前必背考前几页纸!(初级+中级)2025-10-14
- 仅剩9天!2025年统计师考试考前冲刺备考资料免费下载(初级+中级)2025-10-10
- 免费下载!冲刺阶段的复习宝典-2025年中级统计师考前几页纸(各科目汇总)2025-10-10
- 必背资料!2025年中级统计师考试-经济学基础知识-考前10页纸2025-10-10
- 冲刺宝典!2025年中级统计师考试-会计基础知识-考前12页纸2025-10-10
- 考前必背!2025年中级统计师-统计学基础知识-考前14页纸2025-10-10
- 冲刺必备:2025年中级统计师-统计实务-考前10页纸2025-10-10
- 统计师考前冲刺:2025年中级统计师-统计法规-考前5页纸2025-10-10

