统计业务知识辅导:原因与规律分析资料(二)
更新时间:2011-08-30 09:30:12
来源:|0
浏览
收藏
统计师报名、考试、查分时间 免费短信提醒
(二)统计依存关系分析方法
如果变量之间的关系是统计依存关系,可以通过相关分析和回归分析对这些变量的关系进行研究。
1. 分析步骤:
(1) 观察变量之间有关系吗?
(2) 如果变量之间有关系,通过相关分析,分析这种关系的紧密程度;
(3) 通过回归分析,分析变量之间关系的形式;
(4) 通过统计检验,判断这种关系是否具有普遍性;
(5) 分析这种关系是不是因果关系
以下通过一个算例对上述分析步骤进行演示。
现欲研究某市城镇居民1995―2002年人均可支配收入和人均消费支出之间关系。
表3-1给出了某市城镇居民1995年至2002年期间各年度人均可支配收入和人均消费支出的数据。
表3-1 某市1995年~2002年有关统计资料

(1) 观察变量之间有关系吗?
可通过散点图观察,如图3-1可见,随着人均可支配收入的增长,人均消费性支出明显地增长,这表明某市城镇居民1995年―2002年人均可支配收入和人均消费性支出之间存在显著的相关关系。

(2) 通过相关分析,具体分析这种关系的紧密程度
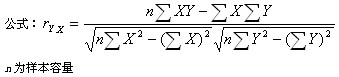
通过散点图看到,人均可支配收入与人均消费性支出存在显著的相关关系,其紧密程度可通过计算相关系数进行分析。求积差相关。


由计算结果可以看出,某市城镇居民1995年―2002年人均可支配收入和人均消费性支出之间的相关系数为0.9983,存在很强的正相关关系。
以上计算方法也可以通过Excel软件很容易地求出。
编辑推荐
最新资讯
- 2026年统计师考试大纲预计不变,继续沿用2021版大纲2026-01-22
- 2026年初级统计师备考资料:免费下载—初级统计师历年真题(2020-2025)2026-01-14
- 倒计时5天!2025年统计师考试考前必背考前几页纸!(初级+中级)2025-10-14
- 仅剩9天!2025年统计师考试考前冲刺备考资料免费下载(初级+中级)2025-10-10
- 免费下载!冲刺阶段的复习宝典-2025年中级统计师考前几页纸(各科目汇总)2025-10-10
- 必背资料!2025年中级统计师考试-经济学基础知识-考前10页纸2025-10-10
- 冲刺宝典!2025年中级统计师考试-会计基础知识-考前12页纸2025-10-10
- 考前必背!2025年中级统计师-统计学基础知识-考前14页纸2025-10-10
- 冲刺必备:2025年中级统计师-统计实务-考前10页纸2025-10-10
- 统计师考前冲刺:2025年中级统计师-统计法规-考前5页纸2025-10-10

