统计业务知识辅导:循环波动分析资料(二)
更新时间:2011-09-06 10:18:19
来源:|0
浏览
收藏
统计师报名、考试、查分时间 免费短信提醒
3. 扩散指数
宏观经济的循环波动是通过一系列经济指标的变动反映出来的,任何一个经济指标本身的波动过程都不足以代表宏观经济整体的波动过程。因此,要研究宏观经济的循环波动问题,就必须考虑多个经济指标的波动特点,扩散指数的计算为解决这一问题提供了一个较为有效的工具。
(1)扩散指数及其含义
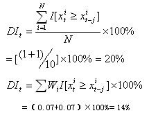
在宏观经济波动的任何一段时间内,各经济指标所表现出的状态都是不尽相同的,有些指标处于扩张状态,有些指标已经达到峰值,而有些指标则已处于收缩状态或已达到谷值。所谓扩散指数又叫扩散率,它是在对各个经济指标的循环波动进行测定的基础上所得到的在一定时点上处于扩张状态的
经济指标(扩张指标)的百分比,即:

如果要更为客观地反映经济波动的状态,还需要根据各指标的重要性进行加权处理,计算加权扩散指数,即:


编辑推荐
最新资讯
- 2026年统计师考试大纲预计不变,继续沿用2021版大纲2026-01-22
- 2026年初级统计师备考资料:免费下载—初级统计师历年真题(2020-2025)2026-01-14
- 倒计时5天!2025年统计师考试考前必背考前几页纸!(初级+中级)2025-10-14
- 仅剩9天!2025年统计师考试考前冲刺备考资料免费下载(初级+中级)2025-10-10
- 免费下载!冲刺阶段的复习宝典-2025年中级统计师考前几页纸(各科目汇总)2025-10-10
- 必背资料!2025年中级统计师考试-经济学基础知识-考前10页纸2025-10-10
- 冲刺宝典!2025年中级统计师考试-会计基础知识-考前12页纸2025-10-10
- 考前必背!2025年中级统计师-统计学基础知识-考前14页纸2025-10-10
- 冲刺必备:2025年中级统计师-统计实务-考前10页纸2025-10-10
- 统计师考前冲刺:2025年中级统计师-统计法规-考前5页纸2025-10-10

