统计相关知识辅导:相关分析复习资料(3)
更新时间:2011-10-12 15:01:30
来源:|0
浏览
收藏
统计师报名、考试、查分时间 免费短信提醒
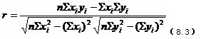
(3)相关系数的计算
通常使用公式(8.3)

例1:2000年我国部分省市自治区城镇居民人均消费性支出和人均可支配收入的有关资料如表8-2所示。试利用表8-2的数据计算人均消费性支出与可支配收入的样本相关系数。

编辑推荐
最新资讯
- 2026年统计师考试大纲预计不变,继续沿用2021版大纲2026-01-22
- 2026年初级统计师备考资料:免费下载—初级统计师历年真题(2020-2025)2026-01-14
- 倒计时5天!2025年统计师考试考前必背考前几页纸!(初级+中级)2025-10-14
- 仅剩9天!2025年统计师考试考前冲刺备考资料免费下载(初级+中级)2025-10-10
- 免费下载!冲刺阶段的复习宝典-2025年中级统计师考前几页纸(各科目汇总)2025-10-10
- 必背资料!2025年中级统计师考试-经济学基础知识-考前10页纸2025-10-10
- 冲刺宝典!2025年中级统计师考试-会计基础知识-考前12页纸2025-10-10
- 考前必背!2025年中级统计师-统计学基础知识-考前14页纸2025-10-10
- 冲刺必备:2025年中级统计师-统计实务-考前10页纸2025-10-10
- 统计师考前冲刺:2025年中级统计师-统计法规-考前5页纸2025-10-10

