2012年统计相关知识辅导:时间数列的分析(六)
更新时间:2011-10-27 10:43:58
来源:|0
浏览
收藏
统计师报名、考试、查分时间 免费短信提醒
(4)平均发展速度和平均增长速度
平均发展速度和平均增长速度是两个非常重要的平均速度指标。
平均发展速度反映现象在一定时期内逐期发展变化的一般程度;
平均增长速度反映现象在一定时期内逐期增长(降低)变化的一般程度。
平均增长速度=平均发展速度-1
目前计算平均增长速度的方法主要有几何平均法和高次方程法。
①几何平均法
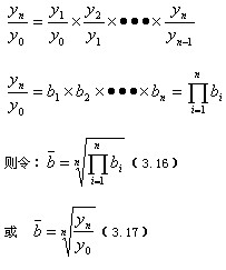
几何平均法也称水平法。采用这一方法的原理是:一定时期内现象发展的总速度等于各期环比发展速度的连乘积。

②高次方程法(略)
根据表3-12中的资料,用几何平均法计算1991-1997年期间我国能源生产量的平均发展速度和平均增长速度。
解:根据(3?16)公式,将表3-12中的有关资料代入可得:

③计算与应用平均速度指标应注意的问题
第一,平均速度指标计算方法的选择要考试研究目的和研究对象的性质特征两个方面。几何平均法对现象的最末期水平进行研究,既适用于时期序列也适用于时点数列;高次方程法对现象各期发展水平之和进行研究,只适用于时期序列。
第二,几何平均法的应用要与具体的环比速度分析相结合。运用几何平均法要注意各期水平的波动状况,用具体的环比发展速度补充总平均发展速度进行分析,这样才能对现象的发展变化过程得出正确而完整的认识。
第三,对平均速度指标的分析要充分利用原始时间序列的信息。利用原始时间序列信息的可能方法有:利用分段平均发展速度补充说明整个时期的总平均发展速度;利用原始时间序列的发展水平、增长量以及计算平均速度所依据的环比速度、定基速度等指标补充说明平均速度本身。
编辑推荐
最新资讯
- 2026年统计师考试大纲预计不变,继续沿用2021版大纲2026-01-22
- 2026年初级统计师备考资料:免费下载—初级统计师历年真题(2020-2025)2026-01-14
- 倒计时5天!2025年统计师考试考前必背考前几页纸!(初级+中级)2025-10-14
- 仅剩9天!2025年统计师考试考前冲刺备考资料免费下载(初级+中级)2025-10-10
- 免费下载!冲刺阶段的复习宝典-2025年中级统计师考前几页纸(各科目汇总)2025-10-10
- 必背资料!2025年中级统计师考试-经济学基础知识-考前10页纸2025-10-10
- 冲刺宝典!2025年中级统计师考试-会计基础知识-考前12页纸2025-10-10
- 考前必背!2025年中级统计师-统计学基础知识-考前14页纸2025-10-10
- 冲刺必备:2025年中级统计师-统计实务-考前10页纸2025-10-10
- 统计师考前冲刺:2025年中级统计师-统计法规-考前5页纸2025-10-10

