2012年统计相关知识辅导:平均指标资料(2)
更新时间:2011-11-16 09:24:34
来源:|0
浏览
收藏
统计师报名、考试、查分时间 免费短信提醒
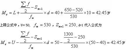
③组距式分组资料确定中位数的方法
组距数列的中位数与单项式数列中位数的确定方法类似,所不同的是:确定了中位数所在组之后,不能得到中位数的准确值,而是利用公式计算中的中位数的近似值。



④中位数的特点
影响中位数大小的主要因素是数列总次数的多少,而不是变量值的大小。当总体分布偏斜度较大时,中位数对于测定总体的集中趋势,反映总体一般水平具有较大的实用性。
编辑推荐
最新资讯
- 2026年统计师考试大纲预计不变,继续沿用2021版大纲2026-01-22
- 2026年初级统计师备考资料:免费下载—初级统计师历年真题(2020-2025)2026-01-14
- 倒计时5天!2025年统计师考试考前必背考前几页纸!(初级+中级)2025-10-14
- 仅剩9天!2025年统计师考试考前冲刺备考资料免费下载(初级+中级)2025-10-10
- 免费下载!冲刺阶段的复习宝典-2025年中级统计师考前几页纸(各科目汇总)2025-10-10
- 必背资料!2025年中级统计师考试-经济学基础知识-考前10页纸2025-10-10
- 冲刺宝典!2025年中级统计师考试-会计基础知识-考前12页纸2025-10-10
- 考前必背!2025年中级统计师-统计学基础知识-考前14页纸2025-10-10
- 冲刺必备:2025年中级统计师-统计实务-考前10页纸2025-10-10
- 统计师考前冲刺:2025年中级统计师-统计法规-考前5页纸2025-10-10

