2012年统计相关知识辅导:时间数列的分析(3)
更新时间:2011-11-18 09:36:26
来源:|0
浏览
收藏
统计师报名、考试、查分时间 免费短信提醒
② 移动平均法
通过对时间数列相邻各项求平均数作为趋势值或预测值的平滑或预测方法,称为移动平均法。它具体可分为简单移动平均法和加权移动平均法。
a. 简单移动平均法
简单移动平均法是将最近的K期数据加以平均,作为移动中项的趋势测定值。
设移动时期项数为k,则第t期的移动平均值为:

注意:当k取奇数或偶数的不同形式时,处理方法有区别。对于k取奇数时,可直接运用公式(3?21)即可;当k取偶数时,要在第一次对原数列作移动平均后,对所得新数列再做一次相邻两项的移动平均,这样才能完成中心化。
例13:下表是1991-2000年我国的原煤产量数据,计算移动项数k=3,k=4时的反映趋势变动的新数列。
表3-16 我国1991-2000年原煤产量数据
|
年份 |
1991 |
1992 |
1993 |
1994 |
1995 |
|
产量(亿吨) |
10.87 |
11.16 |
11.50 |
12.40 |
13.61 |
|
年份 |
1996 |
1997 |
1998 |
1999 |
2000 |
|
产量(亿吨) |
13.97 |
13.37 |
12.50 |
10.45 |
9.98 |

依此类推得到表3-17的第五列。

从表3-17的计算结果看,我国的原煤产量经历了先高后低的发展态势。
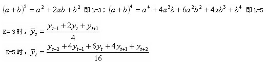
b.加权移动平均法
加权移动平均法是对各期指标值进行加权后计算移动平均数。在使用加权移动平均法时,一般计算奇数项加权移动数,各期权数以二项展开式为计算基础,使得中项时期指标值的权数最大,两边对称,越靠边的项权值越小。

编辑推荐
最新资讯
- 2026年统计师考试大纲预计不变,继续沿用2021版大纲2026-01-22
- 2026年初级统计师备考资料:免费下载—初级统计师历年真题(2020-2025)2026-01-14
- 倒计时5天!2025年统计师考试考前必背考前几页纸!(初级+中级)2025-10-14
- 仅剩9天!2025年统计师考试考前冲刺备考资料免费下载(初级+中级)2025-10-10
- 免费下载!冲刺阶段的复习宝典-2025年中级统计师考前几页纸(各科目汇总)2025-10-10
- 必背资料!2025年中级统计师考试-经济学基础知识-考前10页纸2025-10-10
- 冲刺宝典!2025年中级统计师考试-会计基础知识-考前12页纸2025-10-10
- 考前必背!2025年中级统计师-统计学基础知识-考前14页纸2025-10-10
- 冲刺必备:2025年中级统计师-统计实务-考前10页纸2025-10-10
- 统计师考前冲刺:2025年中级统计师-统计法规-考前5页纸2025-10-10

