《统计相关知识》产品市场的均衡和简单国民收入的决定(6)
(二)政府购买乘数、转移支付乘数和税收乘数
在三部门经济中,政府部门的作用主要是通过政府购买、政府转移支付和税收来影响经济运行。政府支出(G)包括政府购买(g)和政府转移支付(tr)。这时就有G=g+tr。政府购买是指政府部门向私人部门(包括企业部门和家庭部门)购买商品、服务和生产要素。政府转移支付是政府将征收上来的税以各种形式如农业补贴、社会福利保险、贫困救济等再转移给企业部门和家庭部门等方面的支出。同投资具有乘数效应一样,政府购买和转移支付及税收也具有乘数效应。
已知在三部门经济中,国民收入决定于C、I和G,即Y=C+I+G。将政府支出G分解为政府购买g和转移支付tr,就有Y=C+I+(g+tr)。引进政府部门的作用后,首先必须考虑税收(T)对收入的影响。为简单起见,假定税收为定量税,则应当从收入中减去税收(Y-T)才能用于消费;其次,转移支付也意味着收入的增加。在考虑税收和转移支付对收入的影响作用后,我们就可以得到可支配收入的概念,可支配收入可以表示为Y-T+tr。引进可支配收入的概念后,消费函数就可以改写为:
C=C0+c(Y-T+Tr)
这时国民收入决定于消费、投资和政府支出的恒等式在代入消费函数后就可以改写为:
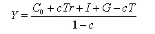
Y=C0+c(Y-T+Tr)+I+G
对上式移项整理后,可得到一个三部门经济的均衡收入公式。

根据均衡收入公式,可以导出政府购买、政府转移支付和税收乘数分别为:

通过上述分析可以知道,政府转移支付乘数与税收乘数都是边际消费倾向与边际储蓄倾向的比率,所不同的是,政府转移支付乘数是正值,而税收乘数是负值。这是因为,政府转移支付作为政府支出的组成部分,是具有注入效应的变量,而税收是具有漏出效应的变量。
注意:如果考虑到增税和减税对纳税人消费偏好的不同影响,可以发现增税带来的国民收入减少往往大于减税带来的国民收入增加。原因:增税时,边际消费倾向上升;减税时,边际消费倾向下降。
复习方法】
2011年统计师考试考后经验交流专区 报统计师全科套餐享受折扣优惠
最新资讯
- 2026年统计师考试大纲预计不变,继续沿用2021版大纲2026-01-22
- 2026年初级统计师备考资料:免费下载—初级统计师历年真题(2020-2025)2026-01-14
- 倒计时5天!2025年统计师考试考前必背考前几页纸!(初级+中级)2025-10-14
- 仅剩9天!2025年统计师考试考前冲刺备考资料免费下载(初级+中级)2025-10-10
- 免费下载!冲刺阶段的复习宝典-2025年中级统计师考前几页纸(各科目汇总)2025-10-10
- 必背资料!2025年中级统计师考试-经济学基础知识-考前10页纸2025-10-10
- 冲刺宝典!2025年中级统计师考试-会计基础知识-考前12页纸2025-10-10
- 考前必背!2025年中级统计师-统计学基础知识-考前14页纸2025-10-10
- 冲刺必备:2025年中级统计师-统计实务-考前10页纸2025-10-10
- 统计师考前冲刺:2025年中级统计师-统计法规-考前5页纸2025-10-10

