一级建筑师考试建筑结构辅导讲义2
(二)偏心受力构件
偏心受力构件分为两种:偏心受拉和偏心受压构件。
1.偏心受拉构件
(1)定义:构件承受的拉力作用点与构件的轴心偏离,使构件产生既受拉又受弯时, 即为偏心受拉构件(亦称拉弯构件)。常见于屋架下弦有节间荷载时。
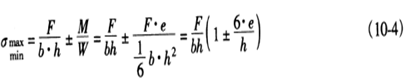
(2)构件的受力状态
由上图可知其截面产生的应力是由两种应力叠加的,其边沿应力公式为:
构件的承载能力应满足σmax≤[σ]
σmax―边沿最大拉应力;
σmin―边沿最小拉应力;
W――截面抵抗矩。
由上式可见在受同样的外拉力时偏心受拉构件,其应力要比轴心受拉构件,增大许 多,因此在结构设计应尽量避免出现这种构件。
2.偏心受压构件
(1)定义:构件承受的压力作用点与构件的轴心偏离,使构件产生既受压又受弯时即 为偏心受压构件(亦称压弯构件)。常见于屋架的上弦杆、框架结构柱,砖墙及砖垛等。
(2)构件的受力状态

截面产生的边沿应力公式为:
σmax―边沿最大压应力;
σmin―边沿最小压应力。
由上式可见,在受同样的压力F时,当作用点与截面轴心偏离时,截面内的压应力增加甚多,而且当偏心距较大时截面内除压应力外将产生一部分拉应力。在实践中尚有双向偏心构件。
(三)受弯构件
1.定义
当一水平构件在跨间承受荷载,使其产生弯曲,构件将产生弯矩和剪力,截面内将产 生弯曲应力和剪应力。这种构件即称为受弯构件。这是结构设计中最常见的构件。
2、受弯构件的受力状态
(1)简支梁在不同荷载作用下的弯矩M及剪力V(图10-6);
(2)多跨连续梁在均布荷载作用下的弯矩和剪力(图10-7)。

在跨度范围内弯矩和剪力都是变化的。
(3)梁截面内的应力分布
1)弯曲应力(图10-8)

+σmax―边沿最大拉应力;
―σmax―边沿最大压应力。
弯曲应力沿截面高度为三角形分布,中和轴处应力为零;向下弯曲时(顺时针)中和轴以上为压应力,中和轴以下为拉应力;向上弯曲时(逆时针),中和轴以上为拉应力,以下为压应力。
2)剪应力
剪应力在截面上的分布也是不均匀的,其分布规律如图10-9。

I――截面惯性矩;
S――计算点以上截面对中和轴的面积矩。
a.剪应力在梁高方向的分布是中和轴处最大,以近抛物线的形状分布,在截面边沿处剪应力为零。
b.沿梁长度方向,支座处剪力最大,剪应力也最大。
c.截面的抗剪主要靠腹板(即梁的截面中部)。
(4)受弯构件的变形

受弯构件在荷载作用下要产生弯曲,于是将产生弯曲变形,使梁产生挠度。
1)梁的挠度跨中最大。
2)挠度的大小与正弯矩成正比。
3)跨度相同、荷载相同时,简支梁的挠度比连续梁、二端固定或一端固定一端简支的梁要大。
4)挠度的大小与梁的EI成反比。
(5)受弯构件的设计要点
1)要满足弯曲应力不超过材料的强度设计值。即最大弯矩处的最大弯曲应力必须小于强度设计值。
2)梁内最大剪力的断面平均剪应力不超过材料抗剪的设计值。
3)梁的最大挠度值不得超过规范规定的数值。
(四)几种基本构件的比较
上述几种基本构件的合理应用,就能取得合理的结构设计。
1.轴心受拉构件是受力最好的构件
(1)最能充分发挥材料性能。因在外力作用下,沿构件全长及截面的内力及应力都是均匀分布。
(2)在承受相同的荷载下,与受压和受弯构件相比所需的断面最小。
(3)只有具有最多数量的轴拉构件和较少轴压和受弯构件组成的结构体系才是最省材料和经济合理的体系。
2.轴压构件
承载力受稳定的影响,故应避免长杆受压,设计时要特别注意侧向稳定。
3.偏心受压构件
在相同截面下,因受偏心弯矩的影响,其承载力将随偏心距的加大而大为减小。而且也要考虑侧向稳定的影响。
4.受弯构件
(1)构件内的内力不均匀分布,因此不能充分发挥材料的作用。
(2)还存在变形能否满足要求的问题,有时虽已满足强度要求,变形不能满足时,则应按变形要求增大构件断面尺寸。
最新资讯
- 2026一级建筑师教材重大变动必看,附历年真题解析考前必练2026-03-20
- 【免费下载】2026一级建筑师《建筑设计》1月份重要知识点汇总2026-02-02
- 2026一级注册建筑师考试《设计前期与场地设计》12月核心知识点总结2025-12-30
- 2026年一级建筑师《建筑经济施工与设计业务管理》考点2025-12-01
- 2026年一级建筑师《建筑材料与构造》考点:地基与基础2025-11-04
- 2026年一级建筑师高频考点:关于不稳定传热2025-10-07
- 2026年一级建筑师高频考点:建筑材料的分类2025-10-02
- 2026年一级建筑师《建筑设计》考点:公共建筑的总体环境布局2025-09-28
- 2026年一级建筑师《设计前期与场地设计》考点:城乡规划2025-09-24
- 2026年一级建筑师《设计前期与场地设计》高频考点:民用建筑选址2025-09-07