2014一级建筑师建筑结构:支座位移引起的位移
更新时间:2014-04-30 15:20:25
来源:|0
浏览
收藏
一级建筑师报名、考试、查分时间 免费短信提醒
摘要 2014一级建筑师考试《建筑结构》考点:支座位移引起的位移,详细内容整理如下,供大家复习备考过程中参考。
支座位移引起的位移
静定结构发生支座位移(平动或转动)不会引起内力和变形,结构只产生刚体位移。此时位移计算的一般公式简化为:

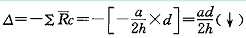
【例 3 -20 】 图 3 -53 ( a )所示三铰刚架,支座 B 发生了水平位移 d ,计算由此引起的铰 C 的竖向位移。

在铰 C 处施加一竖向单位力,得到图 3 -53 ( b )所示的虚拟力状态。求出虚拟状态在单位力作用下的支座反力。利用式( 3 -14 ) ,有:

式中因虚拟状态中的水平反力与实际位移 d 方向相反,故其乘积取负号。
编辑推荐:
编辑推荐
最新资讯
- 2026年一级建筑师《建筑经济、施工与设计业务管理》考前抢分资料 免费下载2026-03-31
- 2026一级建筑师《建筑结构、建筑物理与设备》考前抢分资料,免费下载2026-03-30
- 2026一级建筑师教材重大变动必看,附历年真题解析考前必练2026-03-20
- 【免费下载】2026一级建筑师《建筑设计》1月份重要知识点汇总2026-02-02
- 2026一级注册建筑师考试《设计前期与场地设计》12月核心知识点总结2025-12-30
- 2026年一级建筑师《建筑经济施工与设计业务管理》考点2025-12-01
- 2026年一级建筑师《建筑材料与构造》考点:地基与基础2025-11-04
- 2026年一级建筑师高频考点:关于不稳定传热2025-10-07
- 2026年一级建筑师高频考点:建筑材料的分类2025-10-02
- 2026年一级建筑师《建筑设计》考点:公共建筑的总体环境布局2025-09-28