2014一级建筑师《建筑结构》:力法计算超静定结构
更新时间:2014-04-30 09:29:25
来源:|0
浏览
收藏
一级建筑师报名、考试、查分时间 免费短信提醒
摘要 2014一级建筑师考试《建筑结构》考点:力法计算超静定结构,详细内容整理如下,供大家复习备考过程中参考。
力法计算超静定结构
力法计算超静定结构的一般步骤为:
( 1 )确定超静定次数(多余约束数)n ,即为基本未知量的数目。
( 2 )去掉多余约束,得到一个静定的基本结构,并以多余未知力代替相应的多余约束。
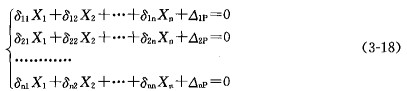
( 3 )根据基本结构在多余力和原有荷载共同作用下,多余力作用点沿其作用方向的位移与原结构相应位移相等的条件,建立 n 个关于多余未知力的方程,即力法典型方程如下:

式中,系数δij表示基本结构在第 j 个单位多余未知力 单独作用下所引起的Xi方向的位移;自由项ΔiP,表示基本结构在外荷载单独作用下所引起的Xi方向的位移.
( 4 )作出基本结构在各单位多余未知力(
)和原有荷载单独作用下的内力图:
及Mp图。
( 5 )按照静定结构求位移的方法计算典型方程的各系数和自由项。
( 6 )解典型方程,求出多余未知力。
( 7 )叠加法计算结构的最后内力,作出内力图。例如对弯矩使用叠加法,则有:

编辑推荐:
编辑推荐
最新资讯
- 2026年一级建筑师《建筑经济、施工与设计业务管理》考前抢分资料 免费下载2026-03-31
- 2026一级建筑师《建筑结构、建筑物理与设备》考前抢分资料,免费下载2026-03-30
- 2026一级建筑师教材重大变动必看,附历年真题解析考前必练2026-03-20
- 【免费下载】2026一级建筑师《建筑设计》1月份重要知识点汇总2026-02-02
- 2026一级注册建筑师考试《设计前期与场地设计》12月核心知识点总结2025-12-30
- 2026年一级建筑师《建筑经济施工与设计业务管理》考点2025-12-01
- 2026年一级建筑师《建筑材料与构造》考点:地基与基础2025-11-04
- 2026年一级建筑师高频考点:关于不稳定传热2025-10-07
- 2026年一级建筑师高频考点:建筑材料的分类2025-10-02
- 2026年一级建筑师《建筑设计》考点:公共建筑的总体环境布局2025-09-28