执业药师考试复习资料:氨苄西林
更新时间:2011-01-21 11:02:30
来源:|0
浏览
收藏
执业药师报名、考试、查分时间 免费短信提醒
执业药师考试复习资料:氨苄西林
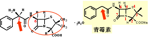
氨苄西林 Ampinillin

结构特点:6位连有2-氨基-苯乙酰氨基
化学名:6-[D-(-)2-氨基-苯乙酰氨基]青霉烷酸的三水化合物。
以青霉烷酸为母体,在6位连有D-构型的2-氨基-苯乙酰氨基
性质:半合成青霉素
有引湿性;水中微溶;两性;苄位为手性碳,结构中有四个手性中心。
水溶液不太稳定,除发生分解反应,还有聚合。
鉴别反应:本品具有α-氨基酸性质,与茚三酮试液作用显紫色,加热后显红色;有肽键结构,可发生双缩脲反应开环,使碱性酒石酸铜还原显紫色
氨苄西林钠为第一个用于临床的广谱半合成青霉素。有耐酸作用,临床用粉针剂,主要用于肠球菌,痢疾杆菌,伤寒杆菌,大肠杆菌和流感杆菌等引起的感染。
更多信息访问: 执业药师考试频道 执业药师考试论坛 执业药师博客圈
编辑推荐
上一篇:执业药师考试复习资料:青霉素钠
最新资讯
- 2025年执业药师药二知识重点,西药二高频考点梳理2025-10-11
- 2025年执业药师法规重点:常考法规条款整理,备考直击要点2025-10-10
- 2025年执业药师考试重点笔记,助力冲刺复习2025-10-09
- 2025年执业药师考试重点知识:全科目重点知识汇总,备考更高效2025-09-30
- 2025年执业药师考前重点:考前必看核心考点,快速查漏补缺2025-09-29
- 2025年执业药师重点总结:全科目核心考点整合2025-09-28
- 2025年执业药师药二重点笔记:药二考点精华2025-09-26
- 2025年执业药师中药一重点总结,考点清晰梳理2025-09-25
- 2025年执业药师药一知识重点:分章节考点整理,告别盲目刷题2025-09-24
- 2025年执业药师药事管理与法规重点:法规核心条款解读,易懂好记2025-09-23