09统计师《统计基础知识》相关分析与回归分析(2)
(一) 相关分析
1. 相关分析的描述――相关表与相关图
在进行相关分析之前,首先要判断现象之间是否存在相关关系,是何种形式的相关关系。这种判断,最初是要对研究对象进行定性分析,在初步确认有相关关系后,还要运用大量的实际观察资料,编出相关表、绘出相关图,利用相关图表,再进一步判断相关关系的形式,为相关分析奠定基础。
(1)相关表
相关表就是根据所掌握的有关变量一定数量的原始对应资料编制的统计表。该表可以清晰地表明因变量与自变量的关系。
如表8-1 10个企业销售额与利润资料
|
企业序号 |
产品销售总额(万元) |
利润总额(万元) |
|
1
2
3
4
5
6
7
8
9
10 |
180
300
450
530
600
710
880
1000
1100
1250 |
15
34
50
75
72
91
110
108
120
125 |
从这个表中,可以看出,10个企业的产品销售总额与利润总额有相关关系,基本上是产品销售总额增加,利润总额也在增加。
相关表的作用:①根据它可以绘制相关图;②是相关分析进行各种计算的依据。
(2)相关图
相关图又称散点图,它是相关表中的原始对应数值在平面直角坐标系中用坐标点描绘出来的。
下图根据表8-1(续)相关表中的数据作出的相关散点图。从这个图中可以看出,10个企业的产品销售总额与利润总额的相关点的分布,近似地表现为一条上升的直线。由此可以判断产品销售总额与利润总额之间存在着直线的正相关关系。

2. 相关关系的测定――相关系数
为了从数量上具体说明现象之间相关关系的方向和密切程度,需要计算相关系数。
(1) 相关系数的定义
相关系数是测定变量之间关系密切程度的量。对两个变量之间的线性相关程度的度量称为单相关系数。通常以p表示总体的相关系数,以r表示样本的相关系数。
总体相关系数的定义公式是:

其中:cov(X,Y) 是随机变量X和Y的协方差; Var(X)和Var(Y)分别是随机变量X和Y的方差。总体的相关系数是反映两个变量之间线性相关程度的一种特征值,表现为一个常数。
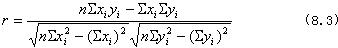
样本的相关系数的定义公式为:

或化简为:

其中:x1和y2分别是X和Y的样本数据。样本相关系数是根据样本数据计算的,抽取的样本不同,其具体的数值也会有所差异。
最新资讯
- 2026年统计师考试大纲预计不变,继续沿用2021版大纲2026-01-22
- 2026年初级统计师备考资料:免费下载—初级统计师历年真题(2020-2025)2026-01-14
- 倒计时5天!2025年统计师考试考前必背考前几页纸!(初级+中级)2025-10-14
- 仅剩9天!2025年统计师考试考前冲刺备考资料免费下载(初级+中级)2025-10-10
- 免费下载!冲刺阶段的复习宝典-2025年中级统计师考前几页纸(各科目汇总)2025-10-10
- 必背资料!2025年中级统计师考试-经济学基础知识-考前10页纸2025-10-10
- 冲刺宝典!2025年中级统计师考试-会计基础知识-考前12页纸2025-10-10
- 考前必背!2025年中级统计师-统计学基础知识-考前14页纸2025-10-10
- 冲刺必备:2025年中级统计师-统计实务-考前10页纸2025-10-10
- 统计师考前冲刺:2025年中级统计师-统计法规-考前5页纸2025-10-10

