09统计师《统计基础知识》相关分析与回归分析(3)
更新时间:2009-10-19 15:27:29
来源:|0
浏览
收藏
统计师报名、考试、查分时间 免费短信提醒
(2)样本相关系数的特点
样本相关系数r有如下特点:
①相关系数的值介于?1与+1之间,即?1≤r≤+1。
当r>0时,表示两变量正相关,当r<0时,表示两变量为负相关。
②当|r|=1时,表示两变量为完全线性相关。当r=1时,称为完全正相关,而当r=-1时,称为完全负相关。
③当r=0时,表示两变量间无线性相关关系。
④当0<|r|<1时,表示两变量存在一定程度的线性相关。且|r|越接近1,两变量间线性关系越密切;|r|越接近于0,表示两变量的线性相关越弱。
⑤r是对变量之间的线性相关关系的量度。r=0只是表明两个变量之间不存在线性关系,但可以存在着非线性关系,这时需要利用其它指标去进行分析。关于这一问题,本教材不做讨论。
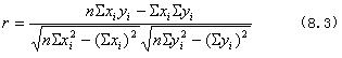
(3)相关系数的计算
通常使用公式(8.3)

例1 2000年我国部分省市自治区城镇居民人均消费性支出和人均可支配收入的有关资料如表8-2所示。试利用表8-2的数据计算人均消费性支出与可支配收入的样本相关系数。
表8-2 2000年我国部分省市城镇居民人均消费支出和收入情况
|
|
人均可支配收入x(元) |
人均消费支出y(元) |
|||
|
北京
天津
河北
山西
内蒙古
辽宁
吉林
黑龙江
上海
江苏
浙江
安徽
福建 |
10350
8141
5661
4724
5129
5358
4810
4913
11718
6800
9279
5294
7432 |
8494
6121
4349
3942
3928
4356
4021
3824
8868
5323
7020
4233
5639 |
107122500
66275881
32046921
22316176
26306641
28708146
23136100
24167569
137300524
46240000
86099841
28026436
55234624 |
72148036
37466641
18913801
15539364
15429184
18974736
16168441
14622976
78641424
28334329
49280400
17918289
31798321 |
87912900
49831061
24619689
20146712
18622008
23339448
19341010
18787312
103915224
36196400
65138580
22409502
41909048 |
|
合计 |
89609 |
70118 |
682962377 |
415235942 |
532168894 |
编辑推荐
最新资讯
- 2026年统计师考试大纲预计不变,继续沿用2021版大纲2026-01-22
- 2026年初级统计师备考资料:免费下载—初级统计师历年真题(2020-2025)2026-01-14
- 倒计时5天!2025年统计师考试考前必背考前几页纸!(初级+中级)2025-10-14
- 仅剩9天!2025年统计师考试考前冲刺备考资料免费下载(初级+中级)2025-10-10
- 免费下载!冲刺阶段的复习宝典-2025年中级统计师考前几页纸(各科目汇总)2025-10-10
- 必背资料!2025年中级统计师考试-经济学基础知识-考前10页纸2025-10-10
- 冲刺宝典!2025年中级统计师考试-会计基础知识-考前12页纸2025-10-10
- 考前必背!2025年中级统计师-统计学基础知识-考前14页纸2025-10-10
- 冲刺必备:2025年中级统计师-统计实务-考前10页纸2025-10-10
- 统计师考前冲刺:2025年中级统计师-统计法规-考前5页纸2025-10-10

