2010统计师《统计基础知识》预习:假设检验(12)
更新时间:2009-12-17 09:33:58
来源:|0
浏览
收藏
统计师报名、考试、查分时间 免费短信提醒
2.长期趋势的测定
长期趋势的测定通常有修匀法和数学模型法。
(1) 修匀法
基本思路:通过对相邻项的合并或求平均来消除时间数列中的偶然因素,使得数列的主要运动方向趋势比以前更加明显,又可分为时距扩大法和移动平均法两种方法。
1、 时距扩大法
时距扩大法是将原时间数列中各期指标数值加以合并,得出一个扩大了时距的新时间数列,这是测定长期趋势的最简单最原始的方法。
使用时距扩大法注意:转自环 球 网 校edu24ol.com
2、移动平均法
通过对时间数列相邻各项求平均数作为趋势值或预测值的平滑或预测方法,称为移动平均法。它具体可分为简单移动平均法和加权移动平均法。
a. 简单移动平均法
简单移动平均法是将最近的K期数据加以平均,作为移动中项的趋势测定值。
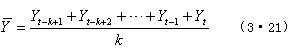
设移动时期项数为k,则第t期的移动平均值为:
首先,这一方法只适用于时期数列;
其次,时距扩大程度不是随意的,而应该遵循事物发展的客观规律;
最后,扩大后的时距要一致,相应的发展水平才具有可比性。

注意:当k取奇数或偶数的不同形式时,处理方法有区别。对于k取奇数时,可直接运用公式(3·12)即可;当k取偶数时,要在第一次对原数列作移动平均后,对所得新数列再做一次相邻两项的移动平均,这样才能完成中心化。
编辑推荐
最新资讯
- 2026年统计师考试大纲预计不变,继续沿用2021版大纲2026-01-22
- 2026年初级统计师备考资料:免费下载—初级统计师历年真题(2020-2025)2026-01-14
- 倒计时5天!2025年统计师考试考前必背考前几页纸!(初级+中级)2025-10-14
- 仅剩9天!2025年统计师考试考前冲刺备考资料免费下载(初级+中级)2025-10-10
- 免费下载!冲刺阶段的复习宝典-2025年中级统计师考前几页纸(各科目汇总)2025-10-10
- 必背资料!2025年中级统计师考试-经济学基础知识-考前10页纸2025-10-10
- 冲刺宝典!2025年中级统计师考试-会计基础知识-考前12页纸2025-10-10
- 考前必背!2025年中级统计师-统计学基础知识-考前14页纸2025-10-10
- 冲刺必备:2025年中级统计师-统计实务-考前10页纸2025-10-10
- 统计师考前冲刺:2025年中级统计师-统计法规-考前5页纸2025-10-10

