2010统计师《统计基础知识》预习:假设检验(13)
更新时间:2009-12-17 09:34:04
来源:|0
浏览
收藏
统计师报名、考试、查分时间 免费短信提醒
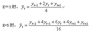
b. 加权移动平均法转自环 球 网 校edu24ol.com
加权移动平均法是对各期指标值进行加权后计算移动平均数。在使用加权移动平均法时,一般计算奇数项加权移动数,各期权数以二项展开式为计算基础,使得中项时期指标值的权数最大,两边对称,越靠边的项权值越小。

例12 表3-18第二栏是某旅游景点1984-1998年接待的游客人数。 要求测定该序列的长期趋势。
表3-18 某旅游景点1984-1998年接待人数及移动平均数
|
年份 |
游客人数(万人) |
移动平均数 |
|
|
K=3 |
K=5 |
||
|
1984 |
107.2 |
- |
- |
|
1985 |
112.4 |
119.5 |
- |
|
1986 |
146 |
132.45 |
129.6 |
|
1987 |
125.4 |
134 |
134.825 |
|
1988 |
139.2 |
138.45 |
141.475 |
|
1989 |
151.6 |
154.2 |
154.25 |
|
1990 |
174.4 |
169.75 |
167.875 |
|
1991 |
178.6 |
177.8 |
177.45 |
|
1992 |
179.6 |
184.45 |
186.188 |
|
1993 |
200 |
198.05 |
198.55 |
|
1994 |
212.6 |
213.65 |
212.988 |
|
1995 |
229.4 |
226.6 |
223.363 |
|
1996 |
235 |
226.6 |
223.663 |
|
1997 |
207 |
214.85 |
- |
|
1998 |
210.4 |
- |
- |

表中第四列依此类推。
需要指出,采用移动平均法,移动后形成的派生数列的项数要比原时间数列的项数少,按奇数时期项数移动,首尾要各少(k-1)/2项数值,按偶数时期项数移动,首尾要各少(k/2)项数值。因此,用移动平均法只便于求时间数列各期的趋势值和观察长期趋势,而不便直接根据派生数列进行预测。
编辑推荐
最新资讯
- 2026年统计师考试大纲预计不变,继续沿用2021版大纲2026-01-22
- 2026年初级统计师备考资料:免费下载—初级统计师历年真题(2020-2025)2026-01-14
- 倒计时5天!2025年统计师考试考前必背考前几页纸!(初级+中级)2025-10-14
- 仅剩9天!2025年统计师考试考前冲刺备考资料免费下载(初级+中级)2025-10-10
- 免费下载!冲刺阶段的复习宝典-2025年中级统计师考前几页纸(各科目汇总)2025-10-10
- 必背资料!2025年中级统计师考试-经济学基础知识-考前10页纸2025-10-10
- 冲刺宝典!2025年中级统计师考试-会计基础知识-考前12页纸2025-10-10
- 考前必背!2025年中级统计师-统计学基础知识-考前14页纸2025-10-10
- 冲刺必备:2025年中级统计师-统计实务-考前10页纸2025-10-10
- 统计师考前冲刺:2025年中级统计师-统计法规-考前5页纸2025-10-10

