2010统计师《统计基础知识》预习:假设检验(14)
更新时间:2009-12-17 09:39:31
来源:|0
浏览
收藏
统计师报名、考试、查分时间 免费短信提醒
(1) 数学模型法
数学模型法就是通过对时间数列的观察判断,在确定其性质和特点的基础上,构建一个比较符合原时间数列的数学方程,用来描述该时间数列的长期趋势,并利用其进行分析和预测。转自环 球 网 校edu24ol.com
常用的数学模型有直线趋势模型和曲线模型两大类。
曲线模型包括指数曲线、二次曲线、Gompertz曲线、Logistic曲线等。
① 线性趋势模型
线性趋势是指现象随着时间的推移,时间数列的逐期增减量大致相等,从而呈现出稳定增长或下降的线性变化规律。
方程模型: (3·23)

yi代表时间数列Yt的趋势值,t代表时间桔,a代表趋势线在Y轴上的截距,当t=0时, yi的数值;b为趋势线的斜率,即:t每变动一个单位时间时, yi平均变动的数量。转自环 球 网 校edu24ol.com
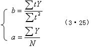
求a,b可使用简便公式:
① 指数曲线模型
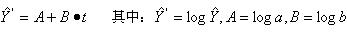
若时间数列的环比增长速度大体相等,则该数列反映的社会经济现象的发展趋势属于指数曲线型。其模型的数学议程为: 式中: y表明现象每年以b的环比发展速度发展,a,b为未知参数。
此方程可以化成对数方程,可简化为:
![]()
编辑推荐
最新资讯
- 2026年统计师考试大纲预计不变,继续沿用2021版大纲2026-01-22
- 2026年初级统计师备考资料:免费下载—初级统计师历年真题(2020-2025)2026-01-14
- 倒计时5天!2025年统计师考试考前必背考前几页纸!(初级+中级)2025-10-14
- 仅剩9天!2025年统计师考试考前冲刺备考资料免费下载(初级+中级)2025-10-10
- 免费下载!冲刺阶段的复习宝典-2025年中级统计师考前几页纸(各科目汇总)2025-10-10
- 必背资料!2025年中级统计师考试-经济学基础知识-考前10页纸2025-10-10
- 冲刺宝典!2025年中级统计师考试-会计基础知识-考前12页纸2025-10-10
- 考前必背!2025年中级统计师-统计学基础知识-考前14页纸2025-10-10
- 冲刺必备:2025年中级统计师-统计实务-考前10页纸2025-10-10
- 统计师考前冲刺:2025年中级统计师-统计法规-考前5页纸2025-10-10

