09年统计师《统计工作实务》辅导:现状分析(23)
更新时间:2009-10-19 15:27:29
来源:|0
浏览
收藏
统计师报名、考试、查分时间 免费短信提醒
(4)距离法
现实中的某些现象人们往往认为它们能够在一定范围之内变化才较为理想。对这类问题的综合评价,可以采用距离法。
距离法的基本思想是:对每一个参评指标确定相应的标准值作为进行比较的依据。
将参评单位看作n维空间中由n个参评指标值确定的点,计算它们与n个标准值确定的标准点之间的距离。
具体步骤:
第一步,对每一个参评指标确定相应的标准值,作为进行比较的依据。
标准值用 表示,i表示第i个指标,0表示标准值,以示与参评指标值的区别。
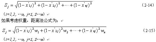
第二点,计算每一单位的各指标实际值与标准值之间的总距离。

第三步,根据第二步计算出的各单位指标实际值与标准值之间的总距离进行评价。
距离标准值越近,即Sj越小,说明综合状态越好;距离标准值越远,即Sj越大,说明综合状态越差。
此外还要加以说明的是,在应用距离法对指标数据进行综合之前,可以先对其进行相对化处理,用指标的实际值 分别除以标准值 ,得到相对化处理后的指标实际值 ,这样可以简化计算。公式变为:

编辑推荐
最新资讯
- 倒计时5天!2025年统计师考试考前必背考前几页纸!(初级+中级)2025-10-14
- 仅剩9天!2025年统计师考试考前冲刺备考资料免费下载(初级+中级)2025-10-10
- 免费下载!冲刺阶段的复习宝典-2025年中级统计师考前几页纸(各科目汇总)2025-10-10
- 必背资料!2025年中级统计师考试-经济学基础知识-考前10页纸2025-10-10
- 冲刺宝典!2025年中级统计师考试-会计基础知识-考前12页纸2025-10-10
- 考前必背!2025年中级统计师-统计学基础知识-考前14页纸2025-10-10
- 冲刺必备:2025年中级统计师-统计实务-考前10页纸2025-10-10
- 统计师考前冲刺:2025年中级统计师-统计法规-考前5页纸2025-10-10
- 统计师考试倒计时!2025年初级+中级考前几页纸关键知识点速记2025-10-10
- 免费下载-考前急救!2025年初级统计师考前几页纸(汇总)2025-10-09

