09年统计师《统计工作实务》辅导:现状分析(24)
更新时间:2009-10-19 15:27:29
来源:|0
浏览
收藏
统计师报名、考试、查分时间 免费短信提醒
【距离法例示】
根据表2-16经过相对化处理后的资料,应用距离法计算综合值进行排序。
这里分别采用公式(2-14)和式(2-15)计算经过相对化处理后的指标值的综合值。
表2-25列示了运用式(2-14)计算的结果,表2-26列示了运用式(2-15)计算的结果。
根据下表运用距离法进行计算:
|
指标名称 |
标准值 |
北京 |
天津 |
上海 |
江苏 |
浙江 |
广东 |
|
总资产贡献率
资本保值增值率
资产负债率
流动资产周转率
成本费用利润率
工业全员劳动生产率
产品销售率 |
10.7
120
60
1.52
3.71
16500
96 |
0.5430
0.8753
0.9736
0.7566
0.7574
2.5265
1.0210 |
0.5935
0.9303
0.9365
0.9408
0.8086
1.9434
1.0202 |
0.6636
0.9348
1.1021
0.9079
1.0243
3.3652
1.0217 |
0.6850
0.9183
0.9639
1.1382
0.5660
2.0073
0.9996 |
0.8972
1.0056
1.0190
1.1579
1.0755
2.1185
0.9931 |
0.6467
0.9436
0.9648
1.0461
0.6792
2.7001
1.0056 |
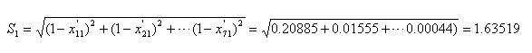
以北京为例
总资产贡献率:(1-0.5430)2=0.20885
资本保值增值率:(1-0.8753)2=0.01555
资产负债率: (1-0.9736)2=0.00070
流动资产周转率:(1-0.7556)2=0.05924
成本费用利润率:(1-0.7574)2=0.05885
工业全员劳动生产率:(1-2.5265)2=2.33020
产品销售率: (1-1.0210)2 =0.00044

编辑推荐
最新资讯
- 倒计时5天!2025年统计师考试考前必背考前几页纸!(初级+中级)2025-10-14
- 仅剩9天!2025年统计师考试考前冲刺备考资料免费下载(初级+中级)2025-10-10
- 免费下载!冲刺阶段的复习宝典-2025年中级统计师考前几页纸(各科目汇总)2025-10-10
- 必背资料!2025年中级统计师考试-经济学基础知识-考前10页纸2025-10-10
- 冲刺宝典!2025年中级统计师考试-会计基础知识-考前12页纸2025-10-10
- 考前必背!2025年中级统计师-统计学基础知识-考前14页纸2025-10-10
- 冲刺必备:2025年中级统计师-统计实务-考前10页纸2025-10-10
- 统计师考前冲刺:2025年中级统计师-统计法规-考前5页纸2025-10-10
- 统计师考试倒计时!2025年初级+中级考前几页纸关键知识点速记2025-10-10
- 免费下载-考前急救!2025年初级统计师考前几页纸(汇总)2025-10-09

