统计业务知识:辅导之 原因与规律分析(5)
更新时间:2011-07-25 14:08:46
来源:|0
浏览
收藏
统计师报名、考试、查分时间 免费短信提醒
为保证参数估计量具有良好的性质,通常对模型提出若干基本假设。它们是:
① 解释变量X1,X2,…Xk是确定性变量,不是随机变量;而且解释变量之间互不相关;
② 随机误差项具有零均值和同方差,即


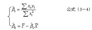
依据表3-1中的数据,运用普通最小二乘法离差形式的参数估计式对
进行估计:
表3-3 参数估计计算表


编辑推荐
最新资讯
- 2026年统计师考试大纲预计不变,继续沿用2021版大纲2026-01-22
- 2026年初级统计师备考资料:免费下载—初级统计师历年真题(2020-2025)2026-01-14
- 倒计时5天!2025年统计师考试考前必背考前几页纸!(初级+中级)2025-10-14
- 仅剩9天!2025年统计师考试考前冲刺备考资料免费下载(初级+中级)2025-10-10
- 免费下载!冲刺阶段的复习宝典-2025年中级统计师考前几页纸(各科目汇总)2025-10-10
- 必背资料!2025年中级统计师考试-经济学基础知识-考前10页纸2025-10-10
- 冲刺宝典!2025年中级统计师考试-会计基础知识-考前12页纸2025-10-10
- 考前必背!2025年中级统计师-统计学基础知识-考前14页纸2025-10-10
- 冲刺必备:2025年中级统计师-统计实务-考前10页纸2025-10-10
- 统计师考前冲刺:2025年中级统计师-统计法规-考前5页纸2025-10-10

