统计业务知识:辅导之 原因与规律分析(6)
(4) 通过统计检验,判断这种关系是否具有普遍性
统计检验包括两个方面:
一方面检验回归方程对样本数据的拟合程度,通过判定系数来分析;
另一方面检验回归方程的显著性,通过假设检验对模型中被解释变量与解释变量之间的线性关系在总体上是否显著成立作出推断,包括对回归方程线性关系的检验和对回归系数显著性的检验。
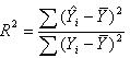
① 拟合优度检验
拟合优度检验是检验模型对样本观测值的拟合程度。用判定系数R2进行拟合优度检验,判定系数的计算公式为:

其中,分母为总体平方和,反映样本观测值总体离差的大小;分子为回归平方和,反映由模型中解释变量所解释的那部分离差的大小。对于一个拟合得好的模型,总体平方和与回归平方和应该比较接近。
如果模型与样本观测值完全拟合,则R2=1。模型与样本观测值完全拟合的情况是不可能发生的,但R2越接近于1,模型的拟合优度越高。
对于简单线性回归模型,

结果表明,在Y的总变差中,有99.65%可以由解释变量X(或回归方程)做出解释,回归方程对于样本观测点拟合良好。也就是说,城镇居民人均消费性支出的变化,有99.65%是由人均可支配收入决定的。
① 对回归方程线性关系显著性的检验
检验回归方程的显著性应用假设检验的方法。对回归方程线性关系显著性的检验采用F检验。检验依据样本估计的回归方程所体现的被解释变量与解释变量之间的线性关系在总体上是否显著成立,即是检验总体的参数是否显著不为0。
对于回归方程总体模型:


拒绝原假设H0,接受备择假设H1,在95%的置信概率下,模型的线性关系显著成立。也就是说,在95%的置信概率下,城镇居民的人均可支配收入对于人均消费性支出的解释作用是显著的。
拟合优度检验和方程显著性检验是从不同原理出发的两类检验,前者是从已经得到的估计模型出发,检验它对样本观测值的拟合程度,后者是从样本观测值出发检验模型总体线性关系的显著性。
最新资讯
- 2026年统计师考试大纲预计不变,继续沿用2021版大纲2026-01-22
- 2026年初级统计师备考资料:免费下载—初级统计师历年真题(2020-2025)2026-01-14
- 倒计时5天!2025年统计师考试考前必背考前几页纸!(初级+中级)2025-10-14
- 仅剩9天!2025年统计师考试考前冲刺备考资料免费下载(初级+中级)2025-10-10
- 免费下载!冲刺阶段的复习宝典-2025年中级统计师考前几页纸(各科目汇总)2025-10-10
- 必背资料!2025年中级统计师考试-经济学基础知识-考前10页纸2025-10-10
- 冲刺宝典!2025年中级统计师考试-会计基础知识-考前12页纸2025-10-10
- 考前必背!2025年中级统计师-统计学基础知识-考前14页纸2025-10-10
- 冲刺必备:2025年中级统计师-统计实务-考前10页纸2025-10-10
- 统计师考前冲刺:2025年中级统计师-统计法规-考前5页纸2025-10-10

